Kasvun säätely ruokintaa heikentämällä eli vähentämällä proteiinia ja rasvaa on kohtuullisen syvään juurtunut tapa lonkkadysplasiasta kärsivien koirien harrastajilla ja kasvattajilla. Törmään moiseen säännönmukaisesti lähes viikoittain. Kasvua ei voi hillitä ruokaa vähentämällä, ja vaikka moiseen kykenisikin, niin siihen ei ole mitään kontrollia.
Ei ole olemassa kaavaa kuinka paljon mitäkin pitää vähentää, että lonkat paranevat ja kasvu olisi jotain jota kuvaillaan tasaiseksi ilman kasvupyrähdyksiä. Koska omat maallikkotasoa olevat perustelut eivät ole riittäneet muuttamaan mielipiteitä, puhumattakaan että loogista pähkäilyä ja jossittelua edes huomioitaisiin, niin on parasta selvittää faktapohjalta mitä kasvussa tapahtuu ja voitaisiinko sitä sittenkin säädellä.
Samalla selvinnee, että onko jättien omistajien väitteessä, että heidän koiriensa kasvu loppuu 3 – 6 vuotiaana, jotain tukevampaa takana. Tuo kuulostaa mielenkiintoiselta jo siksikin, että viiden vuoden paikkeissa koira alkaa olla jo keski-ikäinen, ei murrosikänsä lopettanut nuori, ja osalla jättiroduista olisi tuossa vaiheessa enää pari vuotta elinaikaa jäljellä.
Kasvusta lyhyesti
Koira kasvaa niin kauan kun sen pitkissä luissa tapahtuu pituuskasvua. Kun niiden kasvurustot sulkeutuvat, on myös kasvu loppunut. Samaan aikaan loppuvat käytännössä myös muiden luiden kasvu. Tätä hetkeä säätelee koiran ”sisäinen kello” geenien ohjauksessa. Koiran perimä määrää myös kuinka suuri tai korkea siitä tulee.
Kasvuun ei kyetä käytännössä vaikuttamaan ruokinnalla kuin aiheuttamalla koiralle vakavia puutostiloja. Ravinnolla voidaan kiihdyttää kasvua vain muutamissa poikkeustilanteissa, kuten imeväisenä, mutta silloinkaan nopeutta ei voida kontrolloida.
Tärkeimmät koiran kasvun säätelijät ovat kasvuun vaikuttavat hormonit, kuten kasvuhormoni ja insuliinin kaltaiset kasvutekijät. Ulkoisista tekijöistä vaikuttavat esim. unen määrä ja rasitus.
Ravitsemuksessa vakavimmat kasvuhäiriöt saadaan aikaiseksi sinkin, proteiinien ja A-vitamiinin puutoksessa samalla kun D-vitamiinin puutos vaikuttaa kasvavan luun laatuun. Kalsiumin puutos heikentää luutumista kasvussa myös.
Jos koiran kasvua pyritään hidastamaan vähentämällä sen ruuasta mm. proteiinia ja rasvaa, niin sen kasvua saatetaan saada hidastettua, jos puutos on tarpeeksi vakava. Mutta kun ruokinta palautetaan sille tasolle, jolla sen kuuluisi olla, niin tapahtuu ”catch-up”, kiinnikurominen, jossa luusto kasvaa normaalia nopeammin pyrkien saavuttamaan menetetyn kasvun. Puutoksella aiheutetulla kasvun hidastumisella ei siis saavuteta tasaisempaa ja hitaampaa kasvua, vaan epätasaisia kasvupyrähdyksiä.
Kasvun perusteet
Kasvu tarkoittaa yhtä ja vain yhtä asiaa. Se on luiden kasvua, joissa korkeuskasvun määrää raajojen pitkät putkiluut. Kun kasvulla tarkoitetaan lihaskasvua tai lihavuutta, niin se on tila, joka jatkuu koko elämän ja johon vaikuttaa vahvimmin liikunta ja ruuan energian määrä.
Kasvu alkaa siitä vaiheesta kun munasolu hedelmöitetään, mutta meille se on konkreettisena käsitteenä aika syntymästä siihen hetkeen, kun luiden kasvurustot ja -alueet ovat sulkeutuneet, luutuneet, ja korkeuskasvu on loppunut. Tuo aika kestää rodusta ja yksilöstä riippuen jotain noin kymmenestä kuukaudesta puoleentoista vuoteen.
Kun puhutaan koiran kypsymisestä ja valmistumisesta aina muutaman ikävuoteen asti, niin siinä ei ole kysymys kasvusta, vaan lihaksiston kehittymisestä rakenteen muusta vantteroitumisesta. Varsinaista kasvua se ei enää ole.
Kasvun yläraja on koodattu perimään, mutta ääriolosuhteet vaikuttavat päästäänkö siihen. Nälkä ja aliravitsemus vähentävät ja hidastavat kasvua nuorella iällä. Tämä johtuu hyvin pitkälle siitä, että ruuan ”rakennusaineita” ei riitä uuden tekemiseen, vaan ne joudutaan käyttämään hengissäpysymiseen.
Toki tuo yhteys on huomattavasti monimutkaisempi, mutta juurikin tuosta on perustaltaan kysymys. Siksi tilanteissa, joissa vauvat ja erittäin nuoret eivät saa riittävästi ravintoa, niin kasvu painon kuin pituudenkin suhteen hidastuu ja aikuispituus jää lyhyemmäksi. Jos ruokaa on riittävästi, niin populaation keskipituus alkaa kasvamaan. Me olemme jonkin verrankin pidempiä kuin vaikkapa keskiajalla, eikä tuo ero johdu jalostuksesta. Se johtuu ravitsemuksen ja yleisen terveydentilan kohenemisesta.
Koirilla pätee samanlaiset lainalaisuudet, mutta aliravitsemuksen merkitys aikuisiän kokoon on huomattavasti epäselvempi. Tiedetään, että imeväisiässä maidon puute tai sen heikko laatu hidastaa pentujen kehittymistä.
Koiranpentujen ja ihmislapsen ero raskausajan pituudessa. Koiranpennut jatkavat synnytyksen jälkeen sellaista kehittymistä, jota ihmislapsi tekee vielä äitinsä kohdussa. Siksi kehittymisen suhteen koira on ensimmäisten päivien ja jopa viikkojen suhteen huomattavasti ihmistä arempi aliravitsemukselle.
Tilanne tosin tasaantuu näiden kahden eläinlajin välillä nopeastikin iän myötä johtuen koiran nopeammasta kehittymisestä. Siksi voitaisiin olettaa, että aikuisiän lopulliseen korkeuteen aliravitsemuksella on koirilla huomattavasti pienempi merkitys kuin ihmisillä. Ero puutteessa eläneen, mutta myöhemmin riittävästi ravintoa saaneen ja jo alusta alkaen sopivalla määrällä ruokaa eläneiden välillä voitaisiin havaita ehkä luuston laadussa, lihaksistossa ja rasvasolujen määrässä, mutta tuskin mittanauhalla säkäkorkeudesta.
Normaalin rajoissa oleva yliruokinta taasen ei lisää korkeuskasvua kuin aivan ensimmäisinä aikoina pikkupennuilla, ja niilläkin erot huonompilaatuista (siis vähemmän proteiinia ja rasvaa) maitoa saaneihin nähden johtuvat enemmänkin lihavuudesta. Kasvattajat harvemmin mittaavat pentulaatikossa pentujen vartalon ja raajojen pituutta arvioidessaan saavatko pennut riittävästi maitoa, mutta kylläkin punnitsevat.
Näiltä osin siis lähtökohtaisesti koiran kasvun säätely emän ruokintaa heikentämällä, kun halutaan alentaa maidon rasvaprosenttia pentujen kasvun hillitsemiseksi, ja myöhemmässä iässä pentujen oman ruokinnan heikentäminen samalla perusteella, imitoi vain ja ainoastaan nälänhätää ja aliravitsemusta.
Onneksi suurin osa kasvua säätelevistä omistajista ei kuitenkaan tipauta ruokintaa niin alas, että sillä aidosti vähennettäisiin kasvua, jolloin ei saavuteta sitä mitä haetaan, mutta kylläkin altistetaan kasvava pentu erilaisille muille puutteille. Tilanne on täysin sama kuin anorektisilla nuorilla, joilla ravinnon puute sotkee koko hormonitoiminnan heikentäen kasvua ja mm. lopettaen tytöiltä kuukautiset. En ole koskaan kuullut moisen olevan haluttua.
On toinenkin tekijä, joka vaikuttaa ihmisissä lapsilla ja nuorilla hormonitoiminnan muutoksia ja jossain määrin saattaa vaikuttaa myös kasvuun – erittäin kova ja intensiivinen rasitus. Tosin se vahvistaa myös luustoa ja niveliä, joten vastaavan voisi olettaa olevan tähtäimessä myös koirien omistajilla, varsinkin kun yhtä kovaan treeniin kuin mitä lupaavilla urheilijanaluilla on, ei monikaan omistaja koirillaan kykene. Mutta tuo saattaisi olla selittävänä tekijänä kilpailevien vinttikoiranarttujen pidemmälle kiimakierrolle.
Vinttikoirilla ei kylläkään ole kokemusperäisesti havaittu korkeaproteiinisen ruokinnan ja liikunnan vaikuttavan yhtään mitään kasvuvauhdille tai korkeudelle.
Kasvukäyrä
Kasvu ei ole kauniin lineaarista, tasaisella viivalla samalla tavalla nousujohteista koko kasvuvaiheen. Se ei ole sitä ihmisillä, eikä se ole sitä koirilla. Käsitys tasaisen nousujohteisesta kasvusta on ilmeisesti (virheellisesti) kopioitu neuvoloiden lasten kasvukäyristä, vaikka ihmistenkään käyrä ei ole kauniin lineaarinen.
Kun joku kasvattaja tai harrastaja kehuu ruokkivansa koiran niin, että se kasvaa tasaisesti, eikä kasvupiikkejä ole, niin kyse on aina liian lyhyestä mittausvälistä kokonaisuudessaan eli mitataan vain pentuvaihetta tai pelkästään kiihkeän kasvun vaihetta ja mittaus lopetetaan siinä vaiheessa, kun käyrä lakkaa nousemasta ja päätetään, että kasvu oli tässä.
Yksi tapa saada punnituksiin ja mittauksiin selvä virhe, joka antaa harhakuvan tasaisesta kasvusta, on muuttaa mittausväliä. Imeväisenä punnitaan kerran päivässä, kiinteän ruuan tultua punnitaan kerran viikossa ja luovutuksen jälkeen aletaan punnita kaksi kertaa tai kerran kuussa. Kun numeroita katostaan tai ne siirretään taulukkoon käyräksi, niin mittausväli pidetään samana, vaikka aidosti päivien suhteen se pitenee.
Ollaan siis siirrytty eräällä tavalla logaritmiseen käyrään, jota tulkitaan lineaarisesti. Se on tyylipuhdas virhe.
Jos painoa tai varsinkin kasvun todellista mittaria säkäkorkeutta mitattaisiin säännöllisesti vähintään kerran päivässä, niin jopa kasvupiikit löytyisivät niiltäkin koirilta, joiden omistajat kivenkovaan väittävät, että niitä ei ole. Ja mitattaisiin säkäkorkeuden lisäksi myös takakorkeus, esim. suoliluun kohdalta, niin huomattaisiin, että ne tasaisestikaan kasvavat eivät kasva tasaisesti.
Myös koirien kasvututkimuksissa viitataan usein kasvukäyrään. Jotta ymmärtäisi mitä kasvukäyrä tarkoittaa ja mitkä asiat siihen vaikuttavat, niin on tiedettävä miten se muodostetaan. Käyrän muodostamiseen on useitakin eri tapoja, mutta usein käytetään seuraavaa, joka on vuonna 1932 sellaisen tutkijan kuin Winsor kehittämä:
Wt = Wmax^(-e^[-(t-c)/b])
Wt = paino määrättynä aikana
Wmax = oletettu aikuispaino
b = kasvun oletettu kesto
c = paino punnitusaikana
t = ikä, jolloin 50 % aikuispainosta on saavutettu (kasvun kääntöpiste)
Kasvun kesto arvioidaan kaavalla 4b+c ja se pätee 98 prosentissa koirista, ja on voimassa kun annetaan Wt/Wmax=0,98
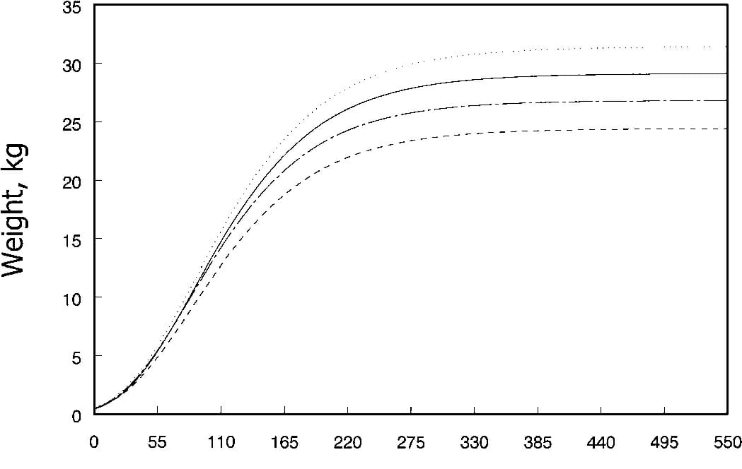
Yhdysvalloissa oli testattu kaavan toimivuutta opaskoirissa saksanpaimenkoirilla sekä labradorinnoutajilla, uroksilla ja nartuilla (Helmink ym 20001). Kasvun ennustamista pidetään opaskoirille yhtenä kriteerinä, koska liian isojen ja painavien koirien hallinta on vaikeampaa.
Kaava ennusti labradorinnoutajille 2,4 kg enemmän painoa kuin saksanpaimenkoirille ja uroksille 4,7 kg enemmän kuin nartuille. Kasvuajan pituudella ei rotujen välillä ollut eroa, mutta urokset kasvoivat hieman yli viikon kauemmin kuin nartut. Labrador-nartuilla oli lyhyin kasvuaika, 319 päivää.
Useimmilla koirilla kiihkeimmän kasvun kääntöpiste, eli ollaan saavutettu 50 % aikuispainosta, on noin neljän kuukauden iässä (Lewis et al., 1992; Biourge ja Kirk, 1995). Ylipäätään suurten koirien kasvu on loppuu 300 – 480 päivän iässä eli 10 – 16 kk paikkeilla (Lewis et al., 1992; Case et al., 1995). Jos kaavassa käytettäisiin aikuispainon 50 % kohtaa, niin kaava ennustaisi kasvun päättymisen kahdeksan kuukauden kohdalle, joten olisi syytä käyttää kääntöpisteenä 36,8 % aikuispainosta, jolloin käyrästö sopisi tarkemmin kaikille koirille ja yksilöille.

Helmink et al. 2000
Oma käytännön kysymyksensä sitten on, että miten saadaan arvioitua odotettavissa oleva aikuispaino sekä milloin on saavutettu siinä 36,8 % piste – kummankin päättäminen etukäteen on puhdasta arpapeliä.
Kyse onkin siitä mihin pyrkii. Jos haluaa ennakoida, että mahtuuko pentu määrättyihin painorajoihin, niin silloin pennun oma kasvukäyrä suhteessa ns. aitoon ja toteutuneeseen käyrään ennustaa lopullista kokoluokkaa.
Toinen tapa on muuttaa käyrän arvoja kasvun myötä, jolloin toteutuvan aikuispainon ennakointi muuttuu koko ajan iän myötä tarkemmaksi.
On taas kerran huomioitava, että kasvu tarkoittaa tässä painoa, ei koiran korkeuskasvua eli säkäkorkeutta. Toki paino korreloi jossain määrin korkeuden kanssa, mutta rakenne-erot, lihasmassan määrä ja varsinkin lihavuusaste vaikuttaa huomattavasti.
Jos käsissä on aina tyypiltään samanlainen rotu, ja pystyy pitämään pentujen lihavuuden kerta toisensa jälkeen samanlaisena, niin toki painokäyrästä voidaan ennakoida myös korkeuskasvua.

Kasvunopeuksista löytyy kohtuullisen vähän eroja, vaikka rotujen aikuispainoissa olisikin huomattavia eroja (Hawthorne ym. 20042). Alempi kasvukäyrä on laskettu hieman eri kaavalla kuin ylempänä oleva ja sen mukaan esimerkiksi englanninmastiffi saavuttaa aikuispainostaan puolet noin 23 viikon kohdalla, hieman ennen, kun taas papillonit jossain vaiheessa 11 viikon paikkeilla. Kääpiöroduilla kiihkein kasvuvaihe kestää noin 11 viikkoon asti, keskikokoisilla 14 – 16 viikon ikään ja jäteillä jopa viiteen kuukauteen asti.
Kiihkeimmän, eksponentiaalisen, kasvun vaihe on kuitenkin kohtuullisen samanlainen rodusta riippumatta. Hitain kasvu painona per viikko tuossa vaiheessa on englanninmastiffilla, joka saa painoa 10,8 % lisää viikossa ja nopein on englannin springerspanieli 18,3 prosentilla. Ylipäätään rodut osuvat väliin 11 – 17 % viikossa.
Kasvu loppuu, kun painoa ei enää kerry. Mutta koska tilastomatemaattiset kaavat eivät moiseen ajatteluun pysty, niin käyrissä kasvu on loppunut, kun 99 % aikuispainosta on saavutettu.
Alemman käyrästön mukaan kääpiöt ja keskikokoiset saavuttavat sen 9 – 10 kk kohdalla, kun suuremmat kasvavat aina 11 – 15 kuukauteen asti. Erot kasvukäyrien ennusteissa eivät siis suuremmin eroa vaikka laskentakaava onkin eri.
Voitaneen sanoa, että yksilövaihtelut ovat suurempia kuin käytetyn tilastomatematiikan aiheuttamat erot.
Rotuerojakin löytyy, jotka osaltaan vaikeuttavat kaavamaista ajattelua. Esimerkiksi newfoundlandinkoiralla on muihin suuriin verrattuna matalampi aikuispaino, mutta kiihkeämpi nopean kasvun vaihe.
Luuston pituuskasvu
Luusto on se kehon osa, joka pitää koiran ryhdissään ja mahdollistaa seisomisen tai juoksemisen. Se on siis perusta, runko tai tukirakenne. Koirilla on ruumiissaan 321 erillistä luuta, jotka vaihtelevat pienen pienistä sesamoideista pitkiin reiden putkiluihin, tai lavan litteistä luista pieniin erikoistuneisiin luihin, kuten kuuloluihin.
Luusto ei ole kuollutta materiaalia, vailla sen tärkeimmät rakennusaineet ovatkin kivennäisaineet kalkki ja fosfori. Luusto on elävä organismi, jonka soluja syntyy ja kuolee koko ajan. Lisäksi sillä on, muutamaa poikkeusta lukuun ottamatta, oma verenkierto.
Luuston merkitys ei ole pelkästään olla runkona tai mahdollistaa liikkuminen. Pitkät luut ovat onttoja ja niiden ytimessä valmistetaan veren tarvitsemat solut, kuten puna- ja valkosolut. Lisäksi luusto toimii elimistön kalsiumin ja fosforin varastointipaikkana. Mineraaleja liitetään ja luovutetaan luustosta vuoden aikana jopa 20 prosenttia.
Luuston muodostuminen
Koska luusto on elävä organismi, niin se tarvitsee jatkuvasti ravinteita sekä mineraaleja. Kaikilla luilla, sesam-luita lukuun ottamatta on valtimo- ja laskimojärjestelmä, joka kuljettaa ravinteet ja mineraalit, jotka luun ulkopinnassa oleva kuitumainen suoniston ja hermoston verkosto ottaa talteen. Tätä kalvoa kutsutaan luukalvoksi (periosteum).
Luustoa muodostuu sikiössä joko sitä nimenomaisesti valmistavista soluista tai rustosta. Rusto on muodostunut kondrosyytti-soluista eli rustosoluista, jotka erittävät tätä kimmoisaa ainetta. Suurin osa näistä sikiön kudoksista ja rustoista mineralisoituvat kalsiumin ja fosforin avulla luuksi. Osa rustoista jää luutumatta, kuten etu- ja takaraajojen pitkien luiden nivelten päät.
Luuston muodostuminen on monimutkainen reaktio. Luusto muodostuu kolmesta elävästä solusta ja yksi niistä, osteoblasti, luunemosolu, valmistaa esikudokset ja erittää proteiinin, kollageenin.
Kollageeni muodostaa eräänlaisen verkon, joka ympäröi solun ja erottaa sen viereisistä soluista. Tähän verkkoon kiinnittyvät mineraalit kalsium, fosfori, karbonaatti ja sitraatti ja se mineralisoituu luuksi.
Tämä eristetty osteoblasti muuttuu nyt osteosyytiksi, luusoluksi, toiseksi luuston kolmesta solutyypistä. Nämä ovat eläviä soluja, jotka ottavat kalsiumia ja muita mineraaleja luustoon sekä tarpeen mukaan erittävät niitä luustosta.
Kolmas solutyyppi on osteoklasti, luunsyöjäsolu, joka kilpirauhashormonin ohjaamana tuhoaa vanhaa luuta, jotta uutta voitaisiin muodostaa.
Luustoa muodostetaan koko ajan, mutta eniten sikiö- sekä kasvuvaiheessa. Siksi esimerkiksi kasvavalla pennulla, sekä murtumien hoidossa, on muistettava varmistaa määrättyjen ravinteiden saaminen, sillä pelkkä kalsium ja fosfori eivät riitä.
Luustoa muodostavien proteiinien tekemiseen tarvitaan, aminohappojen lisäksi, C- ja B6-vitamiinia, kuparia ja sinkkiä.
Glukosamiinipolymeerien, joita tarvitaan kollageeniin valmistamiseen tarvitaan glukosamiinia ja mangaania. D-vitamiinia tarvitaan mineralisoinnissa kalsiumin kanssa. Koko prosessin aktivoi K-vitamiini.
Ravinnon proteiinit ovat erittäin tärkeässä roolissa kun rakennetaan tervettä luustoa. Riittävän korkea proteiinimäärä, ja nimenomaan eläinvalkuainen, lisää luun muodostumista, kalsiumin hyödyntämistä sekä IGF-1:en tuottoa (Kerstetter ym.3). Koska proteiini työskentelee yhdessä kalsiumin kanssa, niin ravinnon proteiinin rajoittaminen niin määrässä kuin laadussakin on haitallista kasvavalle sekä aikuiselle koiralle.
Kasvulevyt
Nuoren koiranpennun korkeuskasvun ymmärtäminen pitkien luiden suhteen vaatii kasvulevyjen toiminnan ymmärtämistä. Puhekielessä käytetään yleensä nimeä kasvupatit. Niin kauan, kun kasvulevyt ovat ”auki”, niin luut voivat kasvaa pituutta ja koira korkeutta. Kun ne ”sulkeutuvat”, kasvu on loppu.
Ennen syntymää pennun luusto on pelkästään rustoa. Iän myötä mineralisaatiota tapahtuu kolmessa eri paikassa: luiden molemmissa päissä (epifyysit), pitkän luun varressa (diafyysi) sekä luun ja epifyysien välissä rustosta muodostuneissa kahdessa levyssä (fyysit) eli kasvulevyissä. Muut luiden kasvulevyt ovat pääjänteiden liittymiskohtien alueilla – kuten polvilumpion nivelsiteiden alueella (Burdan ym. 20094).
Kasvulevyissä on rustosoluja, jotka jakaantuvat, lisääntyvät ja muodostavat proteiiniverkkoa, joka taasen mineralisoituu. Nämä kasvulevyt tuottavat uutta luutta, eli luut kasvavat pituutta, kunnes koira on aikuinen.
Siinä vaiheessa ruston solut lakkaavat jakautumasta, ja kasvulevyjen rustot mineralisoituvat ja muuttuvat luuksi. Useasti puhutaan kasvulevyjen sulkeutumisesta. Tämä tapahtuu esimerkiksi reisiluussa noin viikolla 47 ja sääriluun kohdalla noin 59. viikon kohdalla.
Hormonit
Lopullista kasvua ja kasvun kiihkeyttä säätelevät monet eri tekijät, pääosin hormonaaliset. Koko hormonijärjestelmä on erittäin monimutkainen, eikä tilannetta helpota se, että kaikki vaikuttaa kaikkeen, ja päällepäsmärinä toimii eläimen perimä. Tärkeimmät säätelijät ovat kuitenkin mm. sisäerityksen hormonit (Nilsson ym. 20055)
- kasvuhormoni (somatotropiini, GF)
- insuliininkaltaiset kasvutekijät (IGF-1 ja IGH-2),
- lisäkilpirauhashormoni (parathormoni, PTH) – lisää kalsiumin määrää veressä
- kalsitoniini – vähentää kalsiumin määrää veressä, ja lisää luuta muodostavien osteoblastien määrää sekä vähentää luuta hävittävien osteoklastien toimintaa (jotka siirtävät tuhottavan luun kalsiumin vereen)
- D-vitamiini – hormonin tapainen vitamiini, joka toimii reaktioiden käynnistäjänä useissa kalsiumiin liittyvissä tapahtumissa, sekä parantaa kalsiumin imeytymistä sekä hyödyntämistä
Kasvamisen teorian ymmärtäminen olisikin helppoa, jos kaikki rajoittuisi vain noihin muutamiin tekijöihin. Mutta kuten lihaksistossa, niin myös hormonaalisessa säätelyssä on aina vaikuttaja/vastavaikuttaja. Siksi kasvuun liittyvät myös tyroksiini, kortikoidit, insuliini jne, ja se, kuinka korkea koirasta tulee ja missä tahdissa, riippuu kaikkien näiden yhteistoiminnasta.
Mutta on ymmärrettävä yksi perustekijä: kun sisäinen kello sanoo, että tämä oli nyt tässä ja se sulkee kasvulevyt, niin kasvu loppuu. Ei ole olemassa luonnollista tietä ja torkkukytkintä, jolla saataisiin kasvukautta pidennettyä.
Sivuhyppy. Lihojen suhteen pelätään aina silloin tällöin kasvuhormoneita, varsinkin ulkolaisten (lue: jenkkiläisten) kuivamuonien kanssa. Vaikka eläimelle olisikin annettu kasvuhormonia, niin koiralle sillä ei ole mitään merkitystä. Kasvuhormoni ja sen jäämät eivät vaikuta suun kautta saatuna, vaan sille käy kuten kaikille muillekin ravinnon proteiineille: pilkotaan aminohapoiksi ruuansulatuksessa.
Ruokinta
Toki ruokinnallakin on vaikutuksensa, mutta lähinnä puutteen kautta – sairaalloista ylipainoa ei nyt huomioida. Yliannostus vaikuttaa lähinnä niissä tilanteissa, joissa jonkun aineen erittäminen elimistöstä on puutteellista, erittäin hidasta tai se vaikuttaa huomattavan vahvasti jonkun toisen aineen pitoisuuksiin.
Proteiinit eivät kuulu yliannostusriskien joukkoon, koska munuaiset erittävät huomattavan tehokkaasti ja nopeasti elimistön tarpeen ylittävät määrät.
Kivennäisaineet ovatkin oma tarinansa. Ne, ja niiden ionit, vaikuttavat aina muihinkin. Kalsiumissa lasketaan määriä siksi, että sekä puute että jossain määrin yliannostus ovat haitallisia luun terveen kehittymisen suhteen. Kalsiumissa yliannostus kasvun ongelamana on kuitenkin teoreettinen riski, eikä se teoria ole edes mitenkään vahva.
Ravinto, stressi, yöuni jne. kaikki vaikuttavat kasvuhormonin ja IGF-1:en määriin. Siltä osin ruokinnallaan kasvunopeutta säätelevät ovat oikeilla jäljillä. Säätely on vain turhaa, jos ei tiedetä mitä ja miten säädetään – eikä tuota prosessia voida hallita.
Koiran, ja ihmisen, kasvua voidaan hidastaa nälkiinnyttämällä, nostamalla stressitasoa sekä estämällä nukkuminen. Luusto kasvaa varmasti hitaasti, mutta ei saada myöskään rakennusaineita, stressihormonit sotkevat koko järjestelmän, ja koira sairastuu vakavasti unen puutteeseen. Terve kasvu ja terve yksilö edellyttää riittävästi tasapainoista ruokaa, kroonisen stressin poistamista ja riittävästi unta.
Kun proteiinien määrää ravinnossa vähennetään tarpeeksi, niin kasvu todellakin hidastuu. Proteiinien, eli aminohappojen, puute vähentää IGF-1 määrää, ja se alkaa hidastamaan kudosten ja luuston rakentamista. Suon siellä, vetelä täällä, sillä tuo aiheuttaa kääpiökasvuisuuden lisäksi myös luuston haurastumista ja nimenomaan kasvuhäiriöitä.
Luusto on rakennettava, ja jos sitä säätelevän hormonin määrä romautetaan antamalla elimistön luulla nälänhädän olevan koittamassa ja siten suunnata vähät voimavarat ainoastaan välttämättömimpään, kuten hengissä pysymiseen, niin lonkkien vahvistaminen jää toissijaiseksi.
Kalsiumin, D-vitamiinin ja puhtaiden kaloreiden yliannostus (tai puute) aiheuttavat kasvuhäiriöitä. Kalsiumilla on kohtuullisen tarkka homeostaasi ja D-vitamiini osallistuu sen säätelyyn. Kun tuo tasapaino järkkyy, niin lopputulos näkyy elimistön kalsiumvarastossa, luustossa.
Tiedetään, että jättiroduilla on suurempi riski sairastua erilaisiin nivelten kehityshäiriöihin. Syylliseksi epäillään nimenomaan järkkynyttä kalsiumtasapainoa. Mutta tiedetään myös, että jättiroduilla on suuremmat määrät kasvuhormoneita, jolloin alttius saada kasvuhäiriöitä voi johtua edellä mainitun kalsiumtasapainon lisäksi myös hormonitasapainosta tai D-vitamiinista – tai kaikkien yhteistoiminnasta (Tryfonidou ym. 20036). Kalsiumia pidetään kuitenkin suurimpana yksittäisenä ”syyllisenä”.
Kalsiumin eritys on kohtuullisen heikkoa, koska hormonit pyrkivät säätelemään nimenomaan veren kalsiumpitoisuutta, ja jos elimistö ei muutoin kalsiumia tarvitse, kuten rasituksen jälkeen neutralisoimaan happamuutta, niin luuston pitoisuuksiin ei kosketa. Tällöin pitkän ajan liikasaanti saattaa aiheuttaa nuorilla koirilla osteokondroosia ja Wobblerin syndroomaa, kun taasen puute aiheuttaa osteoporoosia ja murtumaherkkyyttä (Hazewinkel 19867).
Ylipaino, eli yliruokkimisen antamat liiat kalorit, taasen rasittavat vasta kovettumassa olevia pitkiä luita sekä niiden niveliä ihan pelkällä mekaanisella rasituksella. Proteiineissa vaatimus ei ole niiden rajoittamisessa, vaan riittävässä määrässä ja mahdollisimman hyvässä laadussa – eli eläinproteiinissa (Nap ym. 19918).
Kasvun säätelijät
Kasvua säätelee perimä sen suhteen mikä tulee olemaan aikuiskoko, yksinkertaistettuna. Sisäinen kello yhdessä perimän kanssa säätelee koska ja mitä tapahtuu. Hormonit säätelevät missä ja miten tapahtuu. Ja ketjun loppupäässä sitten ravinto tarjoaa rakennuspalikat kun tapahtuu. Kun halutaan vaikuttaa tapahtumiseen ja sen nopeuteen, niin on kyettävä vaikuttamaan vähintään yhteen em. tekijöistä.
Kasvuhormoni
Kasvuhormoni eli GF on tärkein kasvuun vaikuttava hormoni. Sitä erittyy aivolisäkkeestä koko eliniän ajan. Kasvuvaiheessa sen tärkein vaikutus on rakentaa ja kehittää luustoa, mutta se auttaa rakentamaan muutakin kudosta. Niin kauan kun kasvurajat ovat auki pitkien luiden päässä, niin luu kasvaa kasvuhormonin opastuksella pituutta. Kun kasvu on loppu, niin kasvuhormoni kiihdyttää proteiinisynteesiä eri elimistön uusien proteiinien rakentamista. Urheileville suurin merkitys lienee silloin nopeutunut lihaskasvu.
Kasvuhormoni ohjaa myös kehon aineenvaihduntaa. Kun sen määrä plasmassa nousee, niin se alkaa muuttamaan energian tuotantoa rasvojen käyttöön ja eräällä tavalla estää glukoosin ja varsinkin proteiinien käyttöä energiaksi (Scacchi ym. 20039).
Proteiinisynteesiä ja uuden kudoksen rakentamista siis tuetaan ja kasvuhormoni toimii sokerien suhteen päinvastoin kuin insuliini. Koska kasvuhormoni aiheuttaa jossain määrin insuliiniresistenssiä, niin sen on arveltu olevan yhtenä sisäisenä tekijänä mm. ihmisten ylilihavuudessa (Scacchi ym. 199910). Uskotaan, että jostain syystä kasvuhormin tuotanto sekä erittäminen ei toimi kunnolla osalla ylilihavista ja siksi se altistaa metabolisille ongelmille.
Kukaan ei tiedä onko tuo edes mahdollista koirille tai kannattaako sitä edes pohtia. Vaikka se pätisikin, niin siihen ei kyetä vaikuttamaan – mutta selittäisi kylläkin osaltaan miksi joitain koiria on huomattavan vaikea saada laihtumaan.
Kasvuhormonia erittyy eräällä tavalla purskahduksittain hypotalamuksen kasvuhormonia vapauttavan hormonin GHRH ohjaamana ja myös greliinin vaikutuksesta. Greliini on vatsalaukussa syntyvä hormoni, joka vastaan nälän tunteesta. Ruokahalun lisäksi se nopeuttaa vatsalaukun tyhjenemistä ja siirtää elimistöä anaboliseen tilaan, jotta esim. insuliini ja kasvuhormoni pääsevät vaikuttamaan.
Jotta asia ei muuttuisi yhtään helpommaksi, niin syömisen (ja näläntunteen) lisäksi kasvuhormonin eritystä lisää myös vuorokausirytmi, oikeammin nukkuminen. Ihmisillä öiseen aikaan kasvuhormonia erittyy useammin ja korkeammissa määrissä kuin päivällä, ja tuokin rytmi vahvistuu aina 3-5 päivän välein (Clayton ym. 201411). Tuo on yhtenä aiheuttamassa kasvupyrähdyksiä.
Insuliininkaltaiset kasvutekijät
IGF-1 ja IGF-2 ovat insuliinin kaltaisia kasvutekijöitä (Livingstone 201212). Ne muodostuvat maksassa ja eritystä ohjaa aivolisäke. IGF-tekijät, ja varsinkin niistä tärkein IGF-1 on sekä endokriininen eli umpierityksen hormoni kuin myös kudoshormoni eli sitä eritetään suoraan eri kudoksista.
Samalla se on lisäksi parakriininen hormoni eli vaikuttaa naapurisoluihin sekä autokriininen eli IGF-1 hormonia erittävä solu on samalla myös kohdesolu.
IGF-1 vaikuttaa nopeimmillaan anabolisiin toimintoihin niin hiilihydraattien kuin proteiinienkin aineenvaihdunnassa esim. lisäämällä aminohappojen ottoa soluihin. Se on myös yksi tärkeimmistä lihaskasvun säätelijöistä. IGF-1 on mitogeeni eli solunjakautumista käynnistävä ja kiihdyttävä tekijä, jolla on siten merkitystä muun kudoskasvun lisäksi myös DNA:n synteesissä.
IGF-1:tä säätelee kasvuhormonin lisäksi geneettiset tekijät, tyroksiini ja muut kilpirauhashormonit, sukupuolihormonit ja kortisoli, sekä ravitsemus – IGF-1 reagoi mm. saatavilla oleviin ravintoaineisiin. Ihmisillä esimerkiksi neljän päivän paasto romahduttaa IGF-1 tasot puoleen.
Koska ravintoaineet vaikuttavat sen eritykseen, niin silloin myös niin ali- kuin yliruokintakin vaikuttaa aina jollain tavalla IGF-1 määriin ja sitä kautta omalla tavallaan joko nopealla reaktiolla aineenvaihduntaan ja pidemmällä aikavälillä kasvuun. IGF-1:en puoliintumisaika on kuitenkin kohtuullisen lyhyt, muutamia tunteja, joten jo pelkästään ruokailujen välit hyvin sulavalla ruualla saavat IGF-1 tasot heilahtelemaan. Käytännölle tuo ei ole merkityksellistä.
Mutta sen sijaan tieto, että kalaöljy saa IGF-1 tasot reagoimaan nopeammin, saattaa olla oleellinen tieto, varsinkin laihoilla koirilla sekä lihaskasvua haettaessa.
Ihmisillä IGF-1 määrät ovat alhaiset syntymässä ja lähtevät nousuun kohti puberteettia ja pysyy ylhäällä aina 20 ikävuoteen asti, jonka jälkeen määrät lähtevät iän myötä laskuun, mutta vaihtelevat silti eri tekijöiden suhteen, kuten vaikka fyysisen aktiivisuuden myötä. Koirien IGF-1 tasoista ei ole täyttä varmuutta, jos mietitään koko elinkaarta.
Kasvutekijöillä on suuri merkitys pennun kasvulle heti syntymästä. Se ei vielä itse kykene täyteen hormonituotantoon, joten sen on saatava ne maidosta. Koirien koolla on merkitystä siihen paljonko emä IGF-1:tä tuottaa, ja se johtuu täysin pentujen koosta ja ensimmäisten päivien kasvusta.
Isojen on kasvettava nopeammin, koska niillä on suurin suhteellinen (ja myös määrällinen) ero syntymä- ja aikuispainon välillä, mutta kasvuaika on hyvin lähellä samaa muiden kanssa. Tanskandoggiemä tuottaa ternimaidossa lähes kaksi kertaa enemmän IGF-1 tekijää kuin beagle, 70 nl/mg vastaan 40 ng/ml, ja määrät tipahtavat kolmanteen imetyspäivään mennessä noin 10 ng/ml määrään ja pysyy tuon ja 20 ng/ml välissä loppuimetyksen ajan (White ym. 199913).
Kolmanteen päivään mennessä pentujen on siis käynnistettävä itse kasvuhormonituotantoaan, vaikka se saakin hivenen tukea emältä.
Ongelmaksi nousee koko ajan kehittyvä vatsalaukku, joka alkaa käyttämään kasvutekijöitä ravinnoksi kuin mitä tahansa proteiineja (Blum ja Baumrucker 200214), joten imetyksen myöhemmässä vaiheessa IGF-1 maidossa kertoneekin enemmän emän oman elimistön toipumisesta kuin pentujen saamasta avusta.
Koska IGF-1 ja paino kulkevat heti syntymästä alkaen käsi kädessä, niin on syytä olettaa, että IGF-1 liittyy jo heti alusta erittäin vahvasti terveeseen kasvuun.
IGF-1 liittyy mahdollisesti vahvemmin nimenomaan lihasten kasvuun kuin kasvuhormoni, ainakin hiirikokeiden perusteella. Siksi kasvuhormonin vaihtelut vaikuttavat vahvemmin luustoon ja pituuskasvuun, ei lihasten kehittymiseen ja kykyyn vahvistua (Vijayakumar 201315). Toki tuokin on liian tiukka rajaus, ja vaikutukset menevät päällekkäin.
Jo pelkästään sekin, että IGF-1 lisää sisäistä D-vitamiinin valmistusta lisäten siten kalsiumin ja fosforin imeytymistä ja vähentäen PTH:n eritystä (Ameri ym. 201316). Parathormoni PTH eli lisäkilpirauhashormoni lisää kalsiumin pitoisuutta veressä lisäämällä osteoklastien määrää ja aktivoimalla niitä sekä tehostamalla kalsiumin imeytymistä munuaisista. PTH:n eritystä säätelee kalsiumin määrä veressä, joten mutkankin kautta IGF-1 säätelee luuston muodostumista.
Kun hiirille annettiin kasvuhormonia, niin sen anaboliset vaikutukset riippuivat saadusta ravinnosta. Lihaksissa oleva IGF-1 nousi kasvuhormonin myötä, mutta ei ollut riippuvainen ravinnosta. Aliravitsemuksessa sen sijaan IGF-1 lähti heti laskuun (Loughna ym. 199217).
Koiralla on suhteellisesti korkeampi IGF-1 kuin ihmisellä. Sitä pidetään yhtenä syynä koirien lyhyempään elinikään ja nopeampaan vanhenemiseen.
IGF-2 on IGF-1:en tyyppinen hormoni, jonka merkitystä ei täysin edes tunneta. Se on 70 prosenttisesti samanlainen kuin IGF-1. IGF-2:en uskotaan olevan aktiivinen sikiön solujen erikoistumisessa sekä aineenvaihdunnan säätelyssä ja olevan solujen jakautumisessa IGF-1:tä vahvempi mitogeeni. IGF-2:en säätelyä ei tunneta kunnolla, mutta ainakin osa hormoneista, IGF-tekijöitä sitovat proteiinit sekä aliravitsemus ja ylipaino vaikuttavat siihen.
Muut hormonit
Insuliini vaikuttaa kasvuun. Osaksi koska se on anabolinen hormoni, mutta sillä on myös vaikutuksensa kasvuhormoniin. Insuliini on hyvin samantapainen kuin IGF-tekijät – siksi niitä kutsutaankin insuliinin kaltaisiksi kasvutekijöiksi. Samalla tavalla insuliini pystyy vaikuttamaan kasvuhormonin erittymiseen vähentämällä siltä ja insuliinin määrä onkin käänteisesti suhteessa kasvuhormonin määrään – kun insuliini nousee, niin kasvuhormoni laskee ja päinvastoin.
Insuliinin ja IGF-1:en vaikutuksen vertailemista vaikeuttaa se, että toimivat yhtä aikaa ja niillä on yhteiset reseptorit. Mm. hiiritutkimuksilla on kuitenkin selvitetty, että insuliini vaikuttaa eri väyliä pitkin kuin IGF-1 ja niiden oleellinen ero on siinä, että kun IGF-1:en synteesiä eli valmistumista, niin insuliini rajoittaa kasvuhormonin erittymistä (Gahete ym. 201318).
Koko vaikuttaa kasvupyrähdyksiin
Koiran koko vaikuttaa kasvuhormonin määrään veressä, mutta ei niinkään IGF-1 ja IGF-2 määriin (Favier ym. 201119). Kuutta tanskandogin pentua ja kuutta beaglen pentua seurattiin verikokein kuuden viikon iästä aina 24 viikkoon asti. Niiltä mitattiin kerran viikossa kasvuhormonin, IGF-1 ja IGF-2 määrät ja joka toinen viikko otettiin yhtenä päivänä samat testit aina kuuden tunnin välein.
IGF-1 ja IGF-2 määrissä ei ollut rotujen välillä eroa, mutta tanskandogeilla oli korkeammat kasvuhormonipitoisuudet. Kun arvoja verrattiin aikuisten vastaaviin, niin beagleilla kasvuhormonin määrä oli korkeampi 7 viikon ikään asti, mutta tanskandogin pennuilla koko seuranta-ajan.
Kasvuhormonin piikit tulivat useammin ja suurempina tanskandogeilla kuin beagleilla. Tosin tilastollisesti merkittävät erot saatiin esiintymiskertojen määrässä vain viikoilla 19 ja 23 ja hormonin määrässä viikoilla 9, 11 ja 13. Iän myötä tapahtunut hormonipiikkien harveneminen tapahtui vain tanskandogeilla. Kummallakin rodulla oli korkeamman kasvuhormonin jaksoja, mutta tanskandogeilla ne kestivät pidempään.
Ihmiselläkin on vauvana samalla tavalla kasvuhormia kuin tanskandogeilla. Alkuvaiheessa kasvuhormonipiikit tulevat erittäin useasti ja sitä erittyy kerralla paljon, ja yleinen kasvuhormonipitoisuus pysyy pitkään suurempana kuin aikuisilla. Tämä johtuu suuremmasta aikuispainosta. Kasvuhormoni määrää kuinka suuri yksilöstä tulee.
Vaikka kasvuhormoni toimii yhdessä IGF-1:den kanssa, niin IGF-1 toimii enemmänkin kasvuhormonin säätelijänä kuin sellaisenaan määräisi aikuiskoon – enemmänkin IGF-1 vaikuttaa painoon.
13 tanskandogia samasta pentueesta jaettiin kahteen ryhmään, j0sta neljä pentua sai syödä halunsa mukaan ja yhdeksän sai noin 70 % tuosta ruokamäärästä. Ruokintaa jatkettiin kuuteen kuukauteen asti ja pennuilta mitattiin IGF-1, T3 ja T4 tasot. Vapaasti syövillä ja selkeästi painavammilla dogin pennuilla oli paikoin korkeammat T3 ja T4 arvot ja selvästi korkeampi IGF-1 kuin rajoitetusti syövillä (Blum ym. 199220). Iän myötä kasvuhormonien piikit tulevat harvemmin ja matalampina, joka johtuu kasvuhormonin kertymisestä ja aikuiskoon saavuttamisen lähestymisestä.
Kasvuhormonia säätelee hypotalamus aivolisäkkeen kanssa. Koska niin beagleilla kuin tanskandogeillakin oli samat IGF-1 ja IGF-2 määrät riippumatta kasvuhormonin määrästä, niin kummallakaan ei ole koirilla käytännön roolia kasvuhormonin säätelyssä. Siispä säätely tapahtuu suoraan hypotalamuksen kautta kasvuhormonin vastavaikuttajahormonilla somatostatiinilla.
Syntymisen jälkeen kasvuhormoni ei ole herkkä vastavaikuttajalleen, joten määrät pysyvät korkealla. Iän myötä säätelyjärjestelmä ”aikuistuu” ja kasvuhormoni alkaa vastaamaan aina paremmin ja paremmin somatostatiinille kunnes lopulta kasvuhormonin määrä tipahtaa sopivan alas ja kasvu loppuu.
Loppumisvaihe oli kylläkin rankka yleistys ja siihen vaikuttaa monet muutkin tekijät. Oleellisinta on se, että jos aikuiskokoon halutaan vaikuttaa, niin täytyy vaikuttaa joko kasvuhormoniin itseensä haluttaessa lisätä kasvua tai sen vastavaikuttajaan kasvua vähennettäessä.
Ulkoiset muuttujat
Ihmisillä todetaan nykyään yleisesti, että hormonien ja perimän vaikutus kasvuun on 80 %. 20 % määräytyy siis ulkoisilla tekijöillä. Tuokin on yleistävä kaavamainen malli, sillä niin koiran kuin ihmisenkin kasvu jakautuu eräällä tavalla kolmeen vaiheeseen.
Ensimmäinen on imeväisikä, jolloin kasvu kiihtyy koko ajan, mutta ei ole kiihkeimmän kasvun aikaa. Silloin kasvuun vaikuttavat eniten hormonien lisäksi ravinto – äidin maito. Imeväisikäisenä kärsitty aliravitsemus näkyy hitaana kasvuna ja voi vaikuttaa aina aikuisikään asti.
Valitettavasti osan mitattavien rotujen kasvattajien käyttämästä emän ruokinnan heikentämisestä säätelemässä maidon rasva- ja proteiinipitoisuutta vaikuttamassa pentujen kasvuun pohjaa tähän mekanismiin.
Ihmisillä vauvavaiheen aliravitsemuksen suhde kasvuun on selvempi, koirilla ei. Sitä ei ole tiettävästi tutkittu, mutta jokainen kasvattaja tietää, että syntymäpainolla tai edes alhaisemmalla painolla ja koolla vieroitusvaiheessa ei ole merkitystä aikuispainon ja -koon kanssa kuin äärilaidoilla.
Kyse saattaisi olla kahdesta asiasta. Koirien kasvu on kaikkiaan nopeampaa, jolloin yhden vaiheen vaikutus kokonaisuuteen jää vähäisemmäksi. Toinen selitys saattaisi löytyä moniraskauksista, joka automaattisesti asettaa pennut erilaiseen asemaan ravinnon riittävyyden suhteen, jolloin koirien oma sopeutuminen lajina ikään kuin suojelisi sitä – imeväisiän ravinnon riittämisellä ja pienemmällä painolla ei olisi vaikutusta kasvuun, koska elinvoima ja toimivuus ovat jo aikojen alussa karsineet ne yksilöt, jotka selvisivät hengissä pentuvaiheesta, mutta eivät olleet tarpeeksi isoja ja vahvoja aikuisina.
Toinen vaihe ihmisillä on lapsuus aina murrosikään asti. Silloin vahvimpina vaikuttajina kasvussa ovat GH/IGF-1 sekä kilpirauhasen tyroksiini. Ravinnon merkitys kasvun hidastajana aliravitsemuksessa on vähäinen, mutta esim. lihaskudoksen syntyyn sillä toki on merkitystä. Mutta jos ruuasta on puutetta, niin kolmas vaihe eli sukukypsyys saattaa viivästyä.
Koiralla vastaava toinen kasvuvaihe saattaisi olla kiihkeän kasvun vaihe. Kasvun hidastuessa, vaikkakin ihmisillä voi tulla rajujakin kasvupiikkejä, alkaa puberteetti (murrosikä), jolloin kasvuun vaikuttavat eniten GH/IGF-1 lisäksi sukupuolihormonit kuten testosteroni. Ravinnolla ei ole enää käytännön merkitystä (Clayton ym. 201421).
Yksi tärkeä tekijä on riittävä uni. Koiranpentu kasvaa unen aikana aivan samalla tavalla kuin ihminenkin, ja siksi pennut nukkuvat paljon aivan elämänsä alussa, ja aina kasvupiikkien aikana ne ovat ikään kuin uneliaampia kuin välillä.
On täysi arvoitus vaikuttaako pennun tarkoituksellinen hereillä pitäminen kasvuun, kuten jos sitä aktivoidaan paljon. Se kuitenkin nukkuu öisin. Riittävä lepo täytyy kuitenkin suoda, ja se pätee koko elinkaaren ajan.
Stressi vähentää ja hidastaa myös kasvua. Tuo ei tarkoita, että pitäisi pyrkiä täydelliseen harmoniaan, mutta pennulla ei saisi olla jatkuvaa painetta. Laumasuhteet saattavat nostaa stressiä, kuin myös jatkuva ja erittäin intensiivinen koulutus.
Omien kokemusteni valossa kuitenkin väittäisin, että pennulla täytyy olla todella paljon negatiivista stressiä, ennen kuin se alkaa vaikuttamaan kasvuun, ja silloinkin puhutaan ns. luovutusikäisistä pennuista, joilla kiihkeimmän kasvun aika saattaa viivästyä ja olla loivempi. Hieman vanhemmalla pennulla stressi enemmänkin laihduttaa.
Mutta tuon tapaisissa tilanteissa pennun kasvu on se pienin murhe, koska ylipäätään elämänlaatu olisi suunnattoman kehno.
Krooniset tulehdukselliset sairaudet yhdessä kortisonin kanssa saattavat aiheuttaa epänormaalia kasvua, varsinkin jos se liittyy aliravitsemukseen (Sederquist ym. 201422), Mårtensson ym. 200423). Nuorella iällä puhjennut diabetes tai kilpirauhasen vajaatoiminta vaikuttavat kasvuun, samaten haiman vajaatoiminta. Myös jatkuva suolisto-oireilu voi vaikuttaa kasvua hidastavasti tai vähentävästi.
Ravintotekijöitä
Koska koiramaailmassa säädellään kasvua nimenomaan ruokinnalla, niin ruuassa täytyy silloin olla ne tekijät, jotka kasvua säätelevät. Vaikka proteiineista puhutaankin, niin voihan vaikutus olla jossain muuallakin, jota ei vain ajatella. Vilkaistaan muutamia tekijöitä, jotka voisivat vaikuttaa kasvuun ja sen nopeuteen.
Proteiinien puutos
Yleisin tapa yrittää rajoittaa koiranpennun kasvusta, vaikka käytetäänkin ilmaisua hidastaa, tehdään rajoittamalla proteiinien saanti, mutta energia pidetään juuri ja juuri riittävänä, että pentu pysyisi edes erittäin hoikkana kuihtumatta sairaalloisen laihaksi. Kun proteiineja ei saada tarpeeksi, niin kasvuhormonin määrä lähtee nousemaan, mutta IGF-1 laskee.
Se, että IGF-1:den eritys ei enää reagoi kasvuhormonin nousuun, johtuu siitä, että kasvuhormonin reseptorien määrä niin kudoksissa kuin maksassakin vähenee.
Hormonit ovat eräänlaisia avaimia, jotka sopivat vain omiin lukkoihinsa, joiden avaamisesta seuraa jotain. Soluissa olevat reseptorit voi mieltää lukoiksi, joihin hormonit eli avaimet sopivat. Tätä tilaa, jossa elimistö ei enää reagoi nousevaan kasvuhormonin määrään, kutsutaan kasvuhormoniresistenssiksi.
Proteiinien puutos aiheuttaa lisäksi IGF-1 resistenssin. Tämä on ehkä seurausta siitä, että energia riittäisi elimistön rakentamiseen, mutta palikat puuttuvat, eivätkä solut siten vastaa komentoon uuden rakentamisesta; vähät proteiinimäärät tarvitaan hengissä säilymiseen. Niin lapsilla kuin eläinkokeillakin on todennettu, että ruokinnan korjaaminen, proteiinien määrän lisääminen, palauttaa tilan normaaliksi (Fazeli ja Klibanski 201424).
Proteiinien vähentämisessä on huomioitava kaksi seikkaa. Ensimmäinen on, että resistenttiä tilaa ei saada aikaiseksi normaalilla proteiinin vaihtelulla, tai lyhytaikaisessa puutoksessa. Toinen, että vaikka proteiinien epäämisellä saavutetaankin kasvun keskeytyminen, ei hidastuminen, niin se vaikuttaa myös kaikkien muidenkin kudosten rakentumiseen – mukaan lukien luuston vahveneminen.
Yleisesti käytetyllä proteiinien vähentämisellä saavutetaan siis pahimmillaan kasvun totaalinen pysähtyminen ja vajaakehittyminen, parhaimmassa tapauksessa ainoastaan osa elimistä kärsii puutoksesta.
Ruokinnan rajoittaminen ja ajoittaminen
Sisäeritysjärjestelmään, joka säätelee puolestaan hormonituotantoa, vaikuttaa mm. vuorokausirytmi sekä ravinto. Rotilla tutkittiin miten päiväsaikaan tehty rajoitettu ruokinta vaikuttaa kasvuhormoniin, IGF-1:een sekä greliiniin.
Vertailuryhmässä olevat rotat saivat syödä halunsa mukaan ja rajoitetulla ruokinnalla olevat saivat kahden tunnin ajan evästä itselleen. Rajoitetulla ruokinnalla olleilla vatsalaukun tyhjeneminen hidastui ja maksan aktiivisempi toiminta alkoi siirtyä kohti yötä, samaten kehon rasvapitoisuus alkoi laskea. 24 tunnin jaksolla greliinin kokonaiseritys nousi, joka kertoi nälän tunteesta, mutta plasmassa IGF-1:den ja kasvuhormonin määrä taasen laski ja kasvuhormonin suurempi eritys alkoi tapahtua ruoka-aikojen jälkeen (Arellanes-Licea ym. 201425).
Tämä osoitti sen, että ulkoiset tekijät kuten vuorokausirytmi, akuutti ja krooninen nälkä sekä ylipäätään ravinto ovat vaikuttamassa hormonien määrään. Tässä ei ole mitään uutta, se on tiedetty jo kauan – monen eläimen kiima-ajat seuraavat valon määrää, jota säätelee vahvasti sama hormoni kuin mikä käynnistää karvan vaihtuminen: melatoniini.
Tutkimus ei kerro miten ruokinnan rajoittaminen ja ajoittaminen vaikuttavat varsinaiseen kasvuun. Se kertoo sen, että kasvusta vastaava hormonituotanto ajoittaa itseään sen mukaan, että ne saavat ”rakennusaineita” kasvua varten.
Sinkin puutos
Koska hormonit tehdään elimistössä, niin oleellisten rakennusaineiden puutos, niiden toimintaa avustavien ravintoaineiden puutos sekä tietysti aineenvaihdunnan itsensä tarvitsemien aineiden puutos vaikuttaa kasvuun, aina hidastavasti ja negatiivisesti.
Yksi tällainen tekijä, joka aiheuttaa kehnoa sekä puutteellista kasvua ja ehkä pahimmillaan kasvuhäiriöitä, on sinkin puutos.
Unkarilaisia kasvuhormonin puutteesta kärsiviä lapsia on tutkittu sinkin suhteen, ja huomattiin, että erittäin monella oli sinkkivaje (Bol’shova ym. 201326). Tuon perusteella voi aivan oikeutetusti olettaa, että pennulle terveen ja normaalin kasvun takia on syytä varmistua siitä, että sinkkiä on riittävästi ruuassa, kuin myös kaliumia ja magnesiumia (Estívariz ja Ziegler 199727).
Proteiinit vuonna 1951
Vuonna 1951 tutkittiin miten eri proteiinilähteet vaikuttivat kasvuun (Mabee ja Morgan 195128). Tutkimus on mielenkiintoinen siltä osin, että tätä ja vastaavia käytettiin vielä 80- ja 90-luvulla perusteluina ravinnon proteiinien vaikutuksesta kasvuun. Alamme siis päästä alkulähteille.
Tutkijat halusivat selvittää vaikuttaako kuumentaminen, siis kypsentäminen, proteiinien kasvua tukeviin vaikutuksiin. He antoivat mm. kaseiinia, kananmunan valkuaista, vehnägluteenia, lihaa ja jauhettua maapähkinää. Ruoka-annokset pyrittiin saamaan samanlaisiksi, jolloin perustana käytettiin kananmunaa ja 12 prosentin proteiinia. Tuo vastaisi tutkijoiden mukaan kaseiinissa 18 % proteiinia, koska jos koirat olivat aikaisemmissa tutkimuksissa saaneet pelkkänä proteiinin lähteenä alle 18 % proteiinia kaseiinista, niin kasvua ei tapahtunut – pääsääntöisesti koska koirat olivat kieltäytyneet syömästä.
Tutkimuksessa ei mainita ovatko määrät kuiva-aineesta, mutta prosentti itsessään kertoo, että kyse täytyy olla märkäpainosta.
Kypsennettyjä proteiinin lähteitä olivat kaseiini ja kuivattu kananmuna, josta oli rasva poistettu. Kaikkiin annoksiin oli lisätty tarpeen mukaan suoloja, kalsiumia ja vitamiiniseosta, jotta niistä oli saatu samankaltaisia.
Munan keltuaiseen perustuvassa ruuassa rasvaa oli 26 %, kaikissa muissa 10 %.
Kokeeseen otettiin 37 cockerspanielia kahdeksasta pentueesta. Jokainen painoi 1,5 kg aloittaessaan kokeen 5 – 7 viikon ikäisenä ja testi kesti 120 – 188 päivää (4 – 6 kk).
Naudanlihalla saatiin paras kasvu, painot nousivat 7,8 kg ja kaseiinilla päästiin 5,5 kilon painon nousuun. Pohjalla olivat kypsä kananmuna, maapähkinä sekä munan valkuainen – kasvua oli ollut kilosta kahteen.
Kun tuloksia vertailtiin saadun proteiinin määrässä suhteessa painon kehittymiseen, niin ykkösenä oli kananmunan keltuainen ja kun se laitettiin vertailuarvolle 100, niin naudanliha, kuivattu kananmuna ja kaseiini saivat arvon 75. Kuivattu kananmuna sai arvon 26 ja munan valkuaisen albumiini piti häntää arvolla 9 (albumiinit ovat veteen liukenevia proteiineja, eikä sitä käytetä enää ravintoproteiinien ryhmittelemiseen). Albumiinia saaneilla koirilla oli kaikilla kehno karvanlaatu ja ihomuutoksia. Veriarvoissa eri ryhmien välillä ei ollut eroja.
Tutkittavasti koirista kaksi kehitti epileptisiä kohtauksia, joista toinen, uros, jouduttiin lopettamaan sen vuoksi. Kummatkin olivat gluteenia saaneissa.
Tutkimuksessa vedettiin johtopäätöksiä eri proteiinilähteiden hyödyllisyydestä ja kuumentamisen vaikutuksesta. Nykyään tiedetään, että osa noista johtopäätöksistä olivat vääriä ja tulokset eivät johtuneetkaan proteiineista tai niiden lähteistä itsestään, vaan eri aminohappojen ja varsinkin välttämättömien aminohappojen määrästä ja osassa raaka-aineista niiden puutteesta – raja-aminohapoista siis.
Lisäksi rasvan määrä oli liian alhainen lukuun ottamatta kananmunan keltuaiseen perustuneessa ruuassa, joka selittää osaltaan miksi sille saatiin parhaat arvot.
Oleellista on, että tässä tutkimuksessa kasvu tarkoitti painon nousua, ei korkeuskasvua tai luuston kehittymistä.
Hieman sivujuonteena 1951 tutkimuksesta, kun siinä todettiin, että alle 18 % valkuainen kaseiinista sai koirat lopettamaan syömisenä, niin olen törmännyt hieman vastaavanlaiseen mekanismiin.
Jos kiihkeässä kasvussa olevat pikkupennut eivät saa ruuastaan riittävästi energiaa ja proteiini on myös alle tarpeen, niin ne kehittävät anorektista käyttäytymistä. Jos tuo kestää riittävän pitkään, niin pennut jäävät kasvultaan heikommiksi loppuiäkseen ja niiden ”syömisinto” on heikko; ne ovat jatkuvasti vaarassa käynnistää uudelleen anorektisen käyttäytymisensä.
Puutteella saadaan siis kasvua vähennetty, mutta toivon todellakin ettei kukaan mitattavan rodun omistaja nälkiinnytä pentuaan vain siksi, että se saattaa vaikuttaa korkeuskasvuun.
Proteiini vuonna 1991
Ruokkimalla koiria ruualla, jonka ravintoarvot ylittäisivät NRC:n (1974) koirien ravintosuositukset epäiltiin altistavan jättirodut kasvuhäiriöille. Suuntaa antavia tuloksia oli saatu kalsiumin ja fosforin yliannostamisesta, vaikkakin jonkun verrankin noista tuloksista voidaan nykyään kyseenalaistaa. Mutta tällä kertaa haluttiin selvittää, altistaako korkeammat proteiinimäärät kasvuhäiriöille (Nap ym. 199129).
17 tanskandogin pentua iältään 7 viikkoa, jaettiin kolmeen ryhmään, jotka saisivat 31,6, 23,1 tai 14,6 % proteiinia kuiva-aineessa. Tutkimuksen loputtua säkäkorkeudessa ei ollut eroja eri ryhmien välillä. Eroja ei ollut myöskään kalsiumaineenvaihdunnassa tai luustossa.
Korkeampi proteiini ei siten lisännyt kasvua eikä aiheuttanut kasvuhäiriöitä. Painon kehityksessä oli hieman eroa viikoilla 6-8, jolloin matalimmalla proteiinilla olevat jäivät painossa jälkeen, mutta ero ei kasvanut ja pysyi pienenä kokeen loppuun asti viikolle 21.
Tutkijat pitivät tutkimuksen perusteella epätodennäköisenä että ravinnon proteiineilla ja kasvuhäiriöillä olisi mitään syy-yhteyttä. Kaupan päälle syntyi suositus, että jättiroduilla ei ruuan proteiini saisi laskea alle 14,6 prosentin kuiva-aineesta.
Rotat, proteiini ja sinkki
Rotilla testattiin mitä tapahtuu kasvuvaiheessa proteiini- ja energiaköyhällä ruokinnalla, kun siihen yhdistetään sinkin puute, ja mitä seuraa ruokinnan korjaamisesta oikeaksi (Prescod ym. 201130).
Havaittiin, että vähällä sinkillä ja proteiinilla sekä vähällä proteiinilla olleet kasvavat rotat olivat laihempia ja niillä oli vähemmän lihasmassaa pohkeen kaksoiskantalihaksessa kuin pelkällä sinkin puutteella tai energiaköyhällä ruualla olleilla rotanpojilla. Tyypin I ja II lihassolujen halkaisija oli pienempi kun mentiin vajaalla sinkillä ja proteiinilla, proteiinilla sekä sinkillä verrattuna vähäiseen energiaan tai kontrolliryhmään.
Kaikissa kolmessa puutosryhmässä seerumin sinkki oli laskenut, mutta IGF-1 (insuliininkaltainen kasvutekijä) oli alimmallaan kun puutosta oli sinkistä tai energiasta.
Rottien ruokintaa korjattiin ja taas tehtiin tutkimuksia. Tyypin I lihassolujen halkaisija ei palautunut ryhmissä, joissa oli ollut puutetta proteiinista tai energiasta. Tyypin II lihassolujen halkaisija ei korjaantunut proteiinipuutteisilla, vaikka ruokinta korjattiin.
Sen sijaan kylläkin molemmissa, niin energia- kuin proteiinipuuteryhmässä kaiken kaikkiaan paino palautui paremmin kuin sinkin tai sinkin ja proteiinin vähyydestä kärsineillä.
Tulos oli, että kasvuvaiheessa kärsitty sinkin puutos ei vaikuttanut mitenkään lihassolutyyppien korjaantumiseen, mutta proteiinin puutos kylläkin. Luurankolihaksiston palautumisen laatu puutetiloista ei riippunut painosta, lihasmassasta eikä sinkin tai IGF-1:en määrästä plasmassa.
Huomattavaa on myös, että vaikka sinkin puutteesta toivuttiinkin kun ruokintaa korjattiin, niin sinkin vähyys aiheutti aivan samoja ongelmia kuin ylipäätään proteiinien puute. Kokonaisenergian vähyys, eli käytännössä laihuus tai turha hoikkuus, ei ollut niinkään ongelma kunhan sinkkiä ja proteiinia saatiin tarpeeksi.
Rotta on rotta ja koira on koira. Niiden tarvitsema ravinto, aineenvaihdunta ja sen nopeus, sekä ylipäätään kasvunopeus ovat erilaiset. Mutta rotat ovat näissä asioissa ”kiitollisempia” tutkittavia, sillä niiden kasvunopeus on suurempi. Niistä saadaan helpoiten määrätyt vertailuarvot, joita voidaan sitten sovittaa muihin lajeihin – ihmiseen tai koiraan.
Koiralla on kuitenkin yksi asia, joka saa sen varmuudella häviämään rotalle näissä tutkimuksissa. Rotta on sekasyöjä, joka kykenee tehokkaasti hyödyntämään heikostikin sulavan aineksen, vaikka sitten vajaan ja laadultaan kehnon proteiinin. Koira on lihansyöjä, ja sillä on huomattava vaatimus korkealaatuiselle ja helposti sulavalle proteiinille. Vaikka proteiinin määrää ei niinkään tipautettaisi, niin jo pelkän laadun heikentäminen saattaa hyvinkin aiheuttaa puutetta.
Osalta pennuista kasvattajat, ja omistajatkin, eväävät riittävän proteiininsaannin kasvuvaiheessa hitaamman kasvun mantran nimissä. Lainattu rottakoe osoittaa miten vakavasta ruokintavirheestä on kysymys. Pennut saadaan kylläkin laihemmiksi, mutta samalla aiheutetaan vaikeasti korjattava tai jopa korjaamatonta vahinkoa lihaksiston ja sen lihassolujen kehityksessä.
Mutta tässä tutkimuksessa löydettiin jotain, joka saattaisi vaikuttaa varsinaiseen kasvuunkin. Nimittäin energian puute ja varsinkin sinkin vähyys laskivat insuliininkaltaisen kasvutekijän IFG-1:en määrää plasmassa, ja se osallistuu luuston kasvuun. Joten proteiinin laskemisella ei vaikutettu muuhun kuin lihaksiston vajaakehittymiseen, joka ei ole millään mittarilla haluttua.
Sen sijaan on mahdollista, että sinkin puutos voisikin heikentää tai hidastaa kasvua kasvutekijä IGF-1:en vähyyden myötä – mutta silloin se vaikuttaa muidenkin kudosten kuin vain luuston kovettumiseen ja kasvuun, mukaan lukien elimiin ja aivoihin.
Lihaa luille
Ihmisillä on tutkittu korkean valkuaisen vaikutusta luustoon ja kalsiumin hukkaamiseen. Tämä ei liity suoraan kasvun säätelyyn, mutta kylläkin erittäin vahvasti siihen tarkoitukseen, johon kasvun hidastamisessa ruokinnan proteiinien vähentämisellä pyritään: estämään kasvuhäiriöitä ja saamaan terveempi sekä vahvempi luusto. Cao ja Nielsen (201031) tutkivat mitä tapahtuu kun annetaan proteiinia reippaasti yli ihmisten 0,8 g/EPkg suosituksen.
Kalsiumia ei hukkaantunut luustosta, kalsiumin erittyminen ei lisääntynyt, kehon kalsiumtasapaino ei horjunut, mutta pitkän ajan vaikutuksena on luuston vahvistuminen tiheyden parantuessa. Myös murtumaherkkyys laski. Korkeamman proteiinin hyötyjä oli mm. kalsiumin imeytymisen tehostuminen sekä plasman IGF-1:en nousu, joka on yksi kasvua ylläpitävistä hormoneista. Tuloksista löytyi siis pelkästään etuja korkeammasta proteiinista.
Imevät possut
Ihmisiltä tiedetään, että alhainen syntymäpaino ja sen jälkeen saatu proteiinipitoinen ravintolisä saattaa altistaa myöhemmällä iällä ylipainolle. Morise ym. (201132) tutkivat miten proteiinilisä vaikutti imeviin possuihin.
Porsaat jaettiin kahteen ryhmään: normaali- ja alipainoisiin. Niille annettiin normaali- tai korkeaproteiinista maidonkorviketta kolmen viikon ajan. Sen jälkeen ne ruokittiin 70 päivän ikään asti samalla ravinnolla. Sitten tutkittiin kasvua sekä muutamia hormoneja.
Tutkimuksen aikana ruuan kulutuksessa ei ollut eroja, mutta korkeaproteiinista saaneilla kertyi enemmän massaa imeväisaikana, mutta siirryttäessä normaaliin ruokaan, niin suurempi massa säilyi ainoastaan korkeaproteiinista saaneilla uroksilla. Munuaisten ympärillä olevan rasvakudoksen määrässä ei ollut eroja.
Plasman leptiinipitoisuus oli korkeampi korkeaproteiinisella ruualla olleilla, ja ero vieläkin suurempi normipainoisilla verrattuna syntymäpainoltaan alhaisiin. Insuliininkaltaisen kasvutekijän (IGF-1) määriin ja IGF-järjestelmän geeneihin ruokavalio ei vaikuttanut.
Tulos siis oli, että imeväisaikana annettu lisäproteiini lisäsi lihaskasvua, mutta se vaikutti imetyksen loputtua vain uroksilla.
Tutkimus ei ota kantaa siihen, että saavuttivatko muut porsaat kasvussa korkeaproteiinisella emänmaidonvastikkeella isommiksi kasvaneet myöhemmässä vaiheessa. Tutkimus ei myöskään kerro kuinka paljon lisäproteiinista muutettiin energiaksi, vai onko asia käännettävä ylösalaisin: normiproteiinilla valkuaisaineita joudutaan hapettamaan energiaksi, eikä samaa määrää enää käytetä proteiinisynteesiin.
Proteiinisynteesiin liittyvästä asiasta on kuitenkin kyse, koska rasvakudoksissa ei tapahtunut muutoksia, joten kasvun on täytynyt tapahtua nimenomaan luurankolihaksissa. Luuston kasvuun tai kasvunopeuteen korkeampi proteiini ei vaikuttanut.
Murtumiin proteiinia
Ihmisillä osa murtumista paranee normaalia hitaammin ja vastaaviin tilanteisiin on törmätty koirillakin. Syitä on useita, ja asiaa tutkitaan koko ajan. Proteiinien aminohapoilla on merkityksensä. On havaittu, että murtumissa arginiinista peräisin olevalla typpioksidilla on merkittävä rooli murtumien parantumisessa, mutta että stressin ja tulehdusten myötä arginiinin saanti heikkenee ja samalla myös murtumien parantuminen hidastuu. Kun aminohappotasoja seurattiin, niin havaittiin, että kehnolla luutumisella oli alhaiset pitoisuudet kaikissa aminohapoissa (Wijnands ym. 201233).
Suomeksi: luuston kasvu vaatii proteiineja. Niiden rajoittaminen kasvuvaiheessa heikentää luuston rakentumista aivan samoin kuin murtumissa uuden luun syntyminen hidastuu vajaalla proteiinien saannilla – oikeammin, tarvittavien aminohappojen puuttuessa. Taas yksi naula arkkuun, jonka mukaan proteiinien vähentämisellä saavutettaisiin hyötyjä kasvuaikana.
Lihalla on merkitystä
Vuonna 2013 tehty tutkimus lihaproteiinien merkityksestä kasvuhormoniin ja IGF-1:een tehtiin kylläkin ihmisille, mutta sen tulokset ovat silti mielenkiintoiset (Joslowski ym. 201334). Tytöillä puberteetin aikana suurempi eläinproteiinien käyttö nosti IGF-1 määriä ja sitä myöten myös kasvuhormonia, ja se olisi selvästi havaittavissa vielä nuorina aikuisina.
Pojilla sen sijaan nuorina aikuisina mitatut IGF-1 määrät olivat kääntäen verrannollisia nuorena saadun lihaproteiinin määrän. Tytöillä siis liha kiihdytti GH/IGF-1 toimintaa, kun taasen pojilla se näytti vaikuttavan enemmänkin pidemmän ajan ilmentymään, kasvutekijöiden ”ohjelmoitumiseen”. Ero liittynee sukupuolihormoneihin ja sukupuolten erilaisuuteen niin lihasmassan kuin lisääntymisenkin suhteen.
Koirilla tuolla saattaa olla se merkitys, että suuremmalla lihan määrällä nartut saadaan kehittymään nopeammin ja uroksille saadaan pentuaikana annetulla lihalla parempi vaste aikuisena kehittymisessä. Ehkä.
Viimeinen niitti
43:lle jätille alettiin alettiin antamaan kahden kuukauden iästä aina 18 kuukauteen asti kahta ruokaa, josta toisessa oli korkeammat määrät proteiinia, 0mega-3:a, kalsiumia ja antioksidantteja. Tulosten mukaan tuolla ruualla, joka jättiläisrotujen kasvattajien ja harrastajien mielestä on täyttä murhaa, saatiin aikaiseksi koko kasvukaudeksi paras rasvattoman painon suhde – eli hoikkia, mutta lihaksikkaita pentuja – sekä paras ruston kehittyminen luuksi (Schoenherr ym. 201035). Tuo tutkimus vastaa jo yksinään siihen, kannattaako kasvun säätely-yritys vähentämällä proteiinia. Ei kannata. Sitä pitäisi lisätä.
Vastaväitteet
Kasvun säätelijät eivät ole aivan tyhjästä keksineet väitteitä ruuan ja kasvunopeuden yhteydestä. Perusteluja löytyy myös eläinlääkäreistä ja jopa vanhemman polven tutkijoista. Ovatko he sitten täysin väärässä? Vastaus on, että ovat väärässä tai eivät ole, mutta ovat unohtaneet reaalimaailman – hiukan riippuen.
Ruokinnan ja proteiinien kasvua lisäävä vaikutus keksittiin samana aikakautena, jolloin vakaasti väitettiin koiran saavan auringosta D-vitamiinia – jota se ei saa – ja korkean proteiinin tuhoavan munuaiset – jota se ei tee.
Toisaalta taasen proteiineille (ja energialle) on löydettävissä yhteyttä kiihkeämpään kasvuun, mutta niissä yhteys on hieman sama kuin kananmunan avidiinissa ja biotiinissa. Yhteys on teoriassa, mutta se pätee vain määrätyissä erittäin kontrolloiduissa tilanteissa, jotka eivät liity itse asiaan. Ollaan siis teoriaa tutkittaessa unohdettu kokonaiskuva.
Kolmas syy on hieman samaa kuin broilerissa ja kanassa. Puhutaan samankaltaisista asioista, jotka eivät olekaan samoja. Hyvä esimerkki on sotkea kasvussa painon lisääntyminen ja korkeuskasvu keskenään.
Kaloilla ja hyönteisillä ravinto ja ympäristö vaikuttaa voimakkaastikin kasvunopeuteen, mutta meitä kiinnostaa nisäkkäät. Lampailta löytyy ravinnon ja kasvunopeuden yhteyttä puoltava tutkimus. Siinä 24 nuorelle lampaalle annettiin 11 viikon ajan samaa ruokaa, mutta eri määriä, jotta saatiin aikaiseksi kolme erilaista kasvuvauhtia.
Tulosten mukaan nopeimmin kasvaneilla oli luustossa korkeampi kollageenimäärä sekä alempi Ca/P-suhde kertoen huonommasta luuston laadusta. Luusto oli kasvanut pidemmäksi ja painavammaksi, joka kertoo, että kyse on nimenomaan nopeammasta kasvusta (Nicodemo ym. 199936).
Vastaavia tuloksia on saatu muiden lammastutkimusten lisäksi (Thompson ym. 1985, Perry ym. 1992) myös naudoilta (Verbeek 1961) ja hevosilta (Glade & Belling, 1984). Tosin aikaisempi lammastutkimus kylläkin tarjosi syyksi nopeammalle kasvulle nimenomaan fosforia kun verrattiinkin fosforin ja typen saantia, ja silloin alemmalla fosforilla olleilla oli hitaammasta kasvusta riippumatta laadullisesti heikompi luusto (Scott ym. 199737).
Tarkoittako tämä sitä, että sama pätisi koirillakin? Jos näin olisi, niin pitäisi haudata kaikki tutkimukset niin rotilta, koirilta kuin ihmisiltäkin, jotka osoittavat täysin päinvastaista. On siis oltava jokin tekijä, joka erottaa lampaat, naudat ja hevoset rotista, koirista ja ihmisistä. Se tekijä on ylipäätään ravinto.
Lampaat, naudat ja hevoset ovat puhtaita kasvissyöjiä, joiden ravinto on erittäin köyhää verrattuna sekasyöjiin kuten rottiin ja ihmiseen, puhumattakaan lihansyöjästä, joka koira eittämättä on. Koiran lajityypillinen ravinto on köyhimmilläänkin proteiinirikkaampaa ja energiatiheydeltään vahvempaa kuin kasvissyöjien ravinto koskaan. Ruuan laadulla ja varsinkin määrällä on siis merkitystä kasvun kiihdyttäjänä ravintoketjun alapäässä, ei enää huipulla.
Teho on tuhoa
Suurin merkitys Suomessa ruokinnan heikentämiselle liene kuitenkin kotimaisen koiratutkimuksen vahvimman uranuurtajan Saki Paatsaman toteamus, että tehoruokinta on tuhoruokintaa merkityksessä, että yliruokinta aiheuttaa eniten kasvuhäiriöitä. Tätä on sitten tulkittu niin, että minimiruokinta on tehoruokintaa – jota se ei ole, ja jota Paatsama itse ei edes väittänyt. Hänen suurin huolenaiheensa taisi olla ylilihavat koirat.
Ruokinnan yhteyksiä varsinkin suurikokoisten rotujen kasvuhäiriöihin on tutkittu kohtuullisen paljon ja näyttöä löytyy suuntaan sekä toiseen. Fakta kuitenkin on, että ruokintamuutoksillakaan ei ole saatu suurtakaan vaikutusta aikaiseksi, kuin ei myöskään PEVISA:n rajoituksilla, mutta sitäkin enemmän poistamalla jalostuksesta kehnoa rakennetta periyttävät. Dämmrich K. (199138) esittää omassa katsauksessaan kytköstä ruokinnan, kasvun ja kasvuhäiriöiden suhteen. Tarkemmin kylläkin ruuan ja kasvuhäiriöiden välillä.
Tanskandogin pennut saivat syödä joko halunsa mukaan tai rajoitetusti (80-90 % vapaasti syöneiden määrästä) kuuden kuukauden ikään asti. Vapaasti syöneillä alkoi esiintyä muutoksia nivelissä.
Vapaasti syöneet dogiurokset painoivat 42 kg paikkeilla, kun rajoitetulla ruualla olleet heilauttivat vaa’an 22 kilon paikkeille. Nartuilla painovaihtelut olivat 38 kg vastaan 22 kg, kuitenkin hivenen enemmän kuin rajoitetulla ruualla olleet urokset. Painoerot olivat siis huomattavan suuret vapaalla ruokinnalla ja rajoitetulla olleiden välillä.
Dämmrich uskoi yliruokinnan aiheuttavan luuston liian nopeaa kasvua roduilla, joilla on ylipäätään taipumusta nopeaan kasvuun, ja jos koiralla on myös peritty alttius kasvuhäiriöihin, niin se sairastuu.
Hän myös väitti, että kun aikuiskoko – siis korkeus, ei paino – riippuu täysin perimästä, niin kasvuaikaa kyetään suuremmalla määrällä energiaa ja proteiineja lyhentämään eli nopeuttamaan kasvua. Kun energiaa ja proteiineja vähennetään, niin kasvuaika hidastuu ja koiralta kestää kauemmin saavuttaa perimänsä määräämä koko. Onko tuttu väite?
Nyt on huomattavaa se, että kaikkiin muihin väitteisiin Dämmrich liittää viitteen kuten tutkijan kuuluukin, mutta ei näin perustavanlaatuiseen väittämään, joka toimii kivijalkana hänen koko omalle hypoteesilleen ravinnon ja kasvuhäiriöiden yhteydestä.
Tuo on mielenkiintoista, koska kyseessä ei ole ns. yleinen tieto (kuten että maa kiertää aurinkoa), sillä väittämälle on lähes mahdotonta löytää perusteluja. On oletettavaa, että hän perustaa väitteensä Hedhammarin tutkimukseen vuodelta 1974, mutta en ymmärrä viittauksen puuttumista jos kyseessä on tuo ainoa tutkimus laatuaan.
Omituisuus jatkuu. Selitettyään pidempään miten tasapainoinen suhde painon ja korkeuskasvun välillä on perustana terveelle luustolle ja vahvoille nivelille, niin hän perustelee yliruokinnan riskiä kasvulle sillä, että ad libitum syöneet dogit painoivat tuplasti enemmän. Koirien korkeutta ja reisiluun pituutta oli kuitenkin myöskin mitattu. Tulosten mukaan vapaasti syöneillä oli reisiluu oli pidempi molemmilla sukupuolilla enemmän syöneillä ja lihavammilla dogeilla, vaikkakin hajontaa oli paljon.
Dämmrich esittää hieman muista tutkijoista poikkeavia perusteluja sille miksi nivelten kasvuhäiriöt syntyvät, mutta pääpiirteet ovat selvät: syy on liiallinen ruuan energia, jonka takia koirat lihovat liikaa, jonka takia luuston kehityttävä nopeammin tukeakseen suurempaa painoa, joka aiheuttaa heikkoa luuston laatua, joka ei kestä nivelissä suurta painoa. Tehoruokinta on tuhoruokintaa, palattiin takaisin rankkaan ylipainoon, eikä kukaan puhu enää proteiinien määrästä ja vaikutuksesta luuston kasvun kiihdyttäjänä.
Muuten, Dämmrich toteaa havainneensa kalsiumin aineenvaihduntaan liittyviä ongelmia, mutta koska koirat eivät kehittäneet näkyviä ongelmia, niin hän ohittaa ne lähinnä olankohautuksella ja lyhyellä maininnalla. Mielenkiintoinen suhtautuminen, koska hän pyrki nimenomaan osoittamaan kasvuhäiriöiden syyksi muut tekijät kuin kalsiumiin liittyvät, joita muut tutkijat ovat esittäneet syyksi.
Entä insuliini ja IGF-1?
Kun Dämmrich julkaisi tutkimuksensa 1991, niin hän ei tiennyt eräitä asioita, jotka tiedetään tänään. Yliruokinta energialla ja varsinkin erittäin korkealla rasvalla altistaa ylipainoon myös kasvutekijöiden kautta.
Eräs mekanismi on elimistön resistentti niin IGF-1:tä kuin insuliiniakin kohtaan eli kudokset ja solujen reseptorit eivät enää reagoi IGF-1:en ja insuliinin nouseviin määriin.
Käytännössä kasvun kannalta tämä tarkoittaa sitä, että kasvuhormonin määrät eivät laskekaan, vaan nousevat entisestään. Seurauksena on kaksi asiaa. Ensimmäinen on selviö eli ylilihavuus. Toinen on energian ja muiden ravintoaineiden ylitarjonnasta, kohonneesta IGF-1 ja insuliinitasoista johtuvasta anabolinen tilasta sekä ylhäällä pysyvästä kasvuhormista johtuva kiihtynyt kasvu.
Voidaan kohtuullisen huoletta sanoa, että Dämmrich ei tutkinutkaan ruokinnan vaikutusta kasvuun, vaan ylilihavuuden vaikutusta kasvaviin koiriin – tuo on todella oleellinen ero.
Kukaan koiria harrastava ei voi väittää saavansa uutta tietoa, että kasvavalle pennulle ylilihavuus on terveysuhka. Kun Dämmrich antoi tutkittavien tanskandoggipentujen lihota kaksinkertaiseksi muihin verrattuina, niin kiinnostava tieto ei ole, että niiden luusto kasvoi pidemmäksi, vaan että ne saivat ylipainon myötä kasvuhäiriöitä.
Lasten ylipaino
Ihmisillä tutkitaan huomattavan paljon ylipainon syitä ja vaikutuksia, koska liikalihavuus alkaa olla epidemia länsimaissa, ja varsinkin lasten ylipaino alkaa olla huolestuttavaa.
Esipuberteetissa ylipaino kiihdyttää pituuskasvua ihmisilläkin. Ero kuitenkin supistuu ja häviää kokonaan puberteetin aikaan, kun hoikemmat saavat viimeisen kasvuspurtin, mutta ylilihavat jäävät ilman loppukasvua. Silloin heillä kasvuhormonin määrä laskee, joka vain vahvistaa käsitystä, että pituuskasvu on nimenomaan kasvuhormoniriippuvaista.
Nuorempana kiihtynyt kasvu liitetään nykyään nousseisiin leptiini-, insuliini-, androgeenisten hormonien (”mieshormonit”, mm. testosteroni), IGF-1 ja sitä sekä kasvuhormonia sitovien proteiinien määriin.
Leptiini on rasvakudoksen erittämä hormoni, joka mm. kertoo elimistölle nälästä ja kylläisyydestä, aidommin varastorasvan määrästä. Kun ollaan syöty riittävästi, niin leptiinin määrä lähtee nousemaan ja kertoo hypotalamuksen kautta keholle, että nyt on aika tuntea olo kylläiseksi. Kun leptiinin määrä alkaa vähentyä veressä, niin se on yhtenä kertomassa, että ruokaa tarvittaisiin lisää ja syntyy näläntunne.
Leptiini estää myös insuliinin eritystä ja vaikuttaessaan esim. kilpirauhasen TSH:n eritykseen, se on mukana säätelemässä aineenvaihdunnan nopeutta ja aktiivisuutta.
Leptiinipitoisuudessa tulee lapsille nousu ennen puberteetin alkua. Tytöillä leptiinitasot nousevat korkeammaksi kuin pojilla, ja leptiini on se tekijä, joka laukaisee kuukautiskierron. Tytöillä on siis oltava riittävästi rasvaa kehossa saadakseen kuukautiset. Tämä on suurin yksittäinen tekijä miksi treenatuilla ja hoikilla urheilevilla tytöillä on usein epäsäännöllinen kuukautiskierto sekä anorektikoilla kuukautiset loppuvat kokonaan. Samaten ylilihavilla tytöillä on samasta syystä, eli ”riittävän” korkean rasvaprosentin ja nousseen leptiinin takia riski aloittaa kuukautiskierto liian aikaisin.
Pojilla ylilihavuuden ja murrosiän alkamisen suhde on epäselvä, sillä osa tutkimuksista väittää lihavuuden aikaistavan ja osa taasen myöhästyttävän (Marcovecchio ja Chiarelli 201339).
Ylilihavilla veren leptiinipitoisuus on jatkuvasti huomattavan korkea, koska rasvakudos ”vuotaa” leptiiniä koko ajan verenkiertoon. Elimistö muuttuu resistentiksi leptiiniä kohtaan, eikä se enää kykene säätelemään nälän tunnetta, myös aineenvaihdunta kärsii. Mutta leptiiniä erittää muutkin kuin vain rasvakudos.
Leptiini lisää elimistöä purkavien eli katabolisten sekä tulehdusta aiheuttavien aineiden syntyä nivelrustossa. Leptiini on suurissa määrin muutenkin tulehduksia synnyttävä ja ylläpitävä hormoni, jonka takia sen säätely ns. normaaleissa rajoissa olisi edellytys.
Ylilihavilla säätely ei toimi, leptiiniä on liikaa ja syntyy useita ylipainoon liittyviä ongelmia. Nivelrustossa syntyy leptiinejä (ja muita samaan ryhmään kuuluvia hormoneja) ja pitoisuudet ylittävät veressä olevan määrän. Lisäksi nivelrustossa on leptiinille herkkiä reseptoreita. Kaikki nämä yhdessä synnyttävät tulehdustilan nivelrustoon, josta seuraa nivelrikko.
Ylipaino ei siis aiheuta nivelrikko mekaanisen painon aiheuttamalla kuormituksella ja rasituksella, vaan koska ylipainon myötä syntyy tulehdustila (Lammi ym. 200840).
Kukaan ei tiedä mikä merkitys ylipainon ja leptiinin yhteydellä on koirille. Mutta koska kyseessä on kahden nisäkäslajin samanlainen säätelyjärjestelmä, niin on lupa olettaa, että vastaavan laatuisesta toimivuudesta olisi kysymys.
Se ei selitä lonkkadyplasian syntyä itsessään, mutta ehkäpä hyvinkin rajussa ylipainossa se saattaa olla selittävä tekijä. Ja jos näin on, niin Dämmrichin tutkimukset rajusti ylilihavilla kasvavilla tanskandogeilla muuttuukin entistä selvemmin lihavuustutkimukseksi, ei kasvututkimukseksi.
Pelikenttä lisää sekaisin
Vuonna 197541 tehty lonkkatutkimus greyhoundeista, saksanpaimenkoirista ja niiden risteytyksistä ei vastaa kysymykseen voidaanko kasvua säädellä, mutta se kertoo hieman miksi johtopäätösten teko ei ehkä ole niin helppoa kuin mitä tutkimuksista voisi kuvitella ja että vaikuttavia tekijöitä on useita.
Kun tutkittiin syntyneitä pikkupentuja, niin havaittiin greyhoundien olevan kehittyneempiä luustoltaan kuin saksanpaimenkoirat, ja roturisteyksen sijoittuivat noiden väliin.
Neljän viikon ikäisenä jokaisella greyhoundilla ja risteytyksellä oli stabiilit tai ainoastaan hivenen epästabiilit lonkat, kun sen sijaan jokaisella saksanpaimenkoiralla oli epästabiilit lonkat.
16 viikon kohdalla sen sijaan saksanpaimenkoirien luusto olikin jo kypsempi kuin greyhoundeilla tai risteytyksillä.
Kuuden kuukauden kohdalla 28 saksanpaimenkoirasta kuudella oli lonkkadysplasia. Neljä näistä lopetettiin, kuten myös kolme terveeksi kuvattua pentuesisarusta. Myös terveillä oli havaittavissa merkkejä dysplasian kehittymisestä. Kaikki puolivuotiaat greyhoundit ja risteytykset sen sijaan olivat terveitä.
Tutkijat spekuloivat sillä, että koska tiedetään estrogeenin vaikuttavan haitallisesti luuston ja rustojen kehittymiseen, ja koska saksanpaimenkoirat tulivat aikaisemmin sukukypsiksi, niin yksi lonkkadysplasiaan ja luuston kehittymiseen vaikuttava asia olisi sikiön altistuminen kohdussa korkeammalle estrogeenille sekä sen oma korkeampi estrogeenin tuotanto.
Koska luuston kehittyminen ja kasvuhäiriön syntyminen tapahtui noin nopeasti ja nuorella iällä, niin kasvunopeudella ei ole merkitystä – dysplasia syntyi kiihkeän kasvun aikana, jolloin edes hidastaminen nälkiinnyttämisellä ei vaikuta, kuin ei myöskään ylimääräisellä energialla ehkä saavutettu kasvun kiihtyminen, koska kyseessä on eksponentiaalisesti lisääntyvä kasvu jopa normaalitilanteessa – Dämmrichin esittämä energia pidentää kiihkeän kasvun vaihetta, mutta ei pysty jyrkentämään sitä.
Loppuihmettely
Loppumenemä, lopputulema ja kaikki muutkin päätelmät kaiken edellä olevan perusteella johtaa hyvin lyhyeen toteamukseen.
Meillä ei ole mitään työkalua säädellä tai hidastaa kasvua. Aiheuttamalla puutoksia heikentämällä ruokinnan laatua niin proteiinien, energian eli rasvan, tärkeimpien luustoa rakentavien mineraalien eli kalsiumin, fosforin magnesiumin kuin suojaravintoaineiden eli vitamiinien ja muiden mineraalien saannissa johtaa ensin kehityshäiriöihin ja pahimmillaan puutteelliseen kasvuun, näivettymiseen ja kitukasvuisuuteen.
Se, että Dämmrich sai sai lihotuskuurilla ylipainoisille kasvaville tanskandogin pennuille ongelmia, ei ole perustelu sille, että aliruokinnalla saataisiin positiivisia vaikutuksia aikaiseksi. Ääripää ei käytännössä koskaan puolla tai perustele toista ääripäätä.
Kun kasvavalta pennulta evätään sille tarpeellinen määrä proteiineja ja rasvaa, niin sillä ei paranneta kasvua tai rakenneta vahvempaa luustoa niin, että saadaan kuitenkin normaalikokoinen ja terve aikuinen. Sillä aiheutetaan kasvun pysähtyminen ja heikkokasvuisuutta aikuisena. Tuo on jo edellä useaan kertaan näytetty toteen.
Proteiinin ja energian puutetta pidetään pahana uhkana normaalille ja terveelle kasvulle, ihmispuolella. Jostain syystä saman ei katsota pätevän koiriin. Ketju, jossa proteiinien puute aiheuttaa IGF-1 puutoksen, jonka jälkeen kasvuhormonin eritys häiriintyy, jolloin kasvuhormonin sitoutuminen sen reseptoreihin heikkenee ja viimeiseksi lenkin ensimmäisen eli IGF-1:en sitoutuminen sen omiin reseptoreihin heikkenee, ei olisi uhkakuva.
Ihmisillä on, vajaaravitsemuksen sekä terveydellisten tekijöiden kuten ripuleiden ja suolisto-ongelmien kautta. Sama pätee koirille, ei ole mitään syytä väittää, että näin ei olisi. Tiedän, että kuvitelma proteiinien ja energian vähentämisestä terveen kasvun edistäjänä on lähtöisin ylilihavuuden haitoista, mutta ehkä oikea ratkaisu olisi pitää ne pennut normaalissa painossaan riittävällä määrällä proteiineja ja rasvaa?
Osa hoitaa ulkokierteisiä jalkoja ja muita (kuviteltuja) kasvuhäiriöitä ”kuuriluontoisesti” alentamalla hetkeksi proteiinit ja rasvan. Ojasta allikkoon mennään tässäkin. Oikeammin, ei mitään hyötyä.
Kun ensin ollaan ruokavalion köyhdyttämiselle lopetettu tai heikennetty kasvu, niin ruuan palatessa takaisin kasvavalle koiralle sopivaan ravintoon, se kiihdyttää kasvuaan ikään kuin saadakseen menetetyn ajan kiinni. Tämä ”kiinniottokasvu” on kuvattu ja tutkittu rotilla, pätenee myös koiriin (Brito ym. 201242). Ainakin se pätee ihmisillä, sillä vauvojen kohdalla proteiinien vähyys aiheuttaa viivästynyttä kasvua, ja kun ravitsemus saadaan myöhemmin kuntoon, niin kasvu kiihtyy nopeammaksi kuin mitä se normaalisti samassa iässä olisi. Lapsi siis kirii itseään päästäkseen omalle normaalille kasvukäyrälleen (van Goudoever ym. 201443).
Mutta D-vitamiini, kalsium ja proteiinit yksinään eivät tee vahvaa luustoa, edes kasvutekijöiden avustuksella. Tarvitaan myös se elimistön vaatima kannuste: rasitus. Rasitus, hyppäämiset, iskut ja väännöt, kuormittaa ja laittaa elimistön rakentamaan itseään entistä vahvemmaksi kestääkseen tulevat koitokset.
Ruotsissa seurattiin 833 parikymppistä nuorta miestä. Havaittiin, että kahdenkymmenen ikävuoden molemmin puolin saatu rasitus vahvisti luustoa, teki luusta tihempää ja lisäsi luumassaa suojaten aktiivisen ajan murtumariskien lisäksi luultavammin myös vanhemmalla iällä (Nilsson ym. 201244). Vahvinta luuston kehittyminen oli niissä raajoissa, jotka tekivät työtä, kuten lantiossa ja raajoissa.
Vastaavaa, mutta lyhyemmän ajanjakson rasituksen merkitystä luustolle, tutkittiin Iso-Britanniassa armeijassa 12 viikon alokasjaksolla. Havaittiin, että jo lyhytaikainenksi rasitus vahvisti ja lisäsi reisiluun tiheyttä sekä massaa (Eleftheriou ym. 201145).
Vieläkö löytyy joku, joka kaikesta huolimatta on vakuuttunut siitä, että parasta mitä kasvavan nuoren koiran luuston kehitykselle ja terveydelle voi tehdä, on rajoittaa siltä proteiinien lisäksi myös rasittava liikunta – ettei lonkkanivel vaan kulu.
- Helmink SK, Shanks RD, Leighton EA.: Breed and sex differences in growth curves for two breeds of dog guides. J Anim Sci. 2000 Jan;78(1):27-32.[↩]
- Amanda J. Hawthorne, Derek Booles, Pat A. Nugent, George Gettinby, Joy Wilkinson: Body-Weight Changes during Growth in Puppies of Different Breeds. J. Nutr. August 1, 2004 vol. 134 no. 8 2027S-2030S[↩]
- Kerstetter JE, Kenny AM, Insogna KL.: Dietary protein and skeletal health: a review of recent human research[↩]
- Burdan F, Szumiło J, Korobowicz A, Farooquee R, Patel S, Patel A, Dave A, Szumiło M, Solecki M, Klepacz R, Dudka J.: Morphology and physiology of the epiphyseal growth plate. Folia Histochem Cytobiol. 2009;47(1):5-16. PMID: 19419931[↩]
- Nilsson O, Marino R, De Luca F, Phillip M, Baron J.: Endocrine regulation of the growth plate. Horm Res. 2005;64(4):157-65. Epub 2005 Oct 4. PMID: 16205094[↩]
- Tryfonidou MA, Holl MS, Vastenburg M, Oosterlaken-Dijksterhuis MA, Birkenhäger-Frenkel DH, van den Brom WE, Hazewinkel HA.: Hormonal regulation of calcium homeostasis in two breeds of dogs during growth at different rates. J Anim Sci. 2003 Jun;81(6):1568-80. PMID: 12817506[↩]
- Hazewinkel HA.: Calcium metabolism in dogs. Tijdschr Diergeneeskd. 1986 Dec 1;111(23):1197-204. PMID: 3810633[↩]
- Nap RC, Hazewinkel HA, van ’t Klooster AT.: Skeletal development in the dog in relation to nutrition. Tijdschr Diergeneeskd. 1991 Jun 15;116(12):609-27. PMID: 1858095[↩]
- Scacchi M, Pincelli AI, Cavagnini F.: Nutritional status in the neuroendocrine control of growth hormone secretion: the model of anorexia nervosa. Front Neuroendocrinol. 2003 Jul;24(3):200-24.[↩]
- Scacchi M, Pincelli AI, Cavagnini F.: Growth hormone in obesity. Int J Obes Relat Metab Disord. 1999 Mar;23(3):260-71[↩]
- Clayton P, Gill, Tillmann V, Westwood M.: Translational Neuroendocrinology: Control of Human Growth. J Neuroendocrinol. 2014 Apr 3. doi: 10.1111/jne.12156[↩]
- Livingstone C.: The insulin-like growth factor system and nutritional assessment. Scientifica (Cairo). 2012;2012:768731. doi: 10.6064/2012/768731[↩]
- White ME, Hathaway MR, Dayton WR, Henderson T, Lepine AJ.: Comparison of insulin-like growth factor-I concentration in mammary secretions and serum of small- and giant-breed dogs. Am J Vet Res. 1999 Sep;60(9):1088-91.[↩]
- Blum JW, Baumrucker CR.: Colostral and milk insulin-like growth factors and related substances: mammary gland and neonatal (intestinal and systemic) targets. Domest Anim Endocrinol. 2002 Jul;23(1-2):101-10.[↩]
- Vijayakumar A1, Buffin NJ, Gallagher EJ, Blank J, Wu Y, Yakar S, LeRoith D.: Deletion of growth hormone receptors in postnatal skeletal muscle of male mice does not alter muscle mass and response to pathological injury. Endocrinology. 2013 Oct;154(10):3776-83. doi: 10.1210/en.2013-1209[↩]
- Ameri P, Giusti A, Boschetti M, Murialdo G, Minuto F, Ferone D.: Interactions between vitamin D and IGF-I: from physiology to clinical practice. Clin Endocrinol (Oxf). 2013 Oct;79(4):457-63. doi: 10.1111/cen.12268[↩]
- Loughna PT, Mason P, Bates PC.: Regulation of insulin-like growth factor 1 gene expression in skeletal muscle. Symp Soc Exp Biol. 1992;46:319-30.[↩]
- Gahete MD, Córdoba-Chacón J, Lin Q, Brüning JC, Kahn CR, Castaño JP, Christian H, Luque RM, Kineman RD.: Insulin and IGF-I inhibit GH synthesis and release in vitro and in vivo by separate mechanisms. Endocrinology. 2013 Jul;154(7):2410-20. doi: 10.1210/en.2013-1261[↩]
- Favier R1, Mol JA, Kooistra HS, Rijnberk A: Large body size in the dog is associated with transient GH excess at a young age. J Endocrinol. 2001 Aug;170(2):479-84.[↩]
- Blum JW, Zentek J, Meyer H.: The effect of a different energy supply on the growth intensity and skeletal development of growing Great Danes. Zentralbl Veterinarmed A. 1992 Oct;39(8):568-74.[↩]
- Clayton P, Gill, Tillmann V, Westwood M.: Translational Neuroendocrinology: Control of Human Growth. J Neuroendocrinol. 2014 Apr 3. doi: 10.1111/jne.12156[↩]
- Sederquist B1, Fernandez-Vojvodich P, Zaman F, Savendahl L.: Impact of inflammatory cytokines on longitudinal bone growth. J Mol Endocrinol. 2014 Apr 7 PMID: 24711646[↩]
- Mårtensson K, Chrysis D, Sävendahl L: Interleukin-1beta and TNF-alpha act in synergy to inhibit longitudinal growth in fetal rat metatarsal bones. J Bone Miner Res. 2004 Nov;19(11):1805-12[↩]
- Fazeli PK, Klibanski A.: Determinants of GH resistance in malnutrition. J Endocrinol. 2014 Jan 27;220(3):R57-65. doi: 10.1530/JOE-13-0477[↩]
- Arellanes-Licea ED, Báez-Ruiz A, Carranza ME, Arámburo C, Luna M, Díaz-Muñoz M.: Daily Patterns and Adaptation of the Ghrelin, Growth Hormone and Insulin-Like Growth Factor-1 System Under Daytime Food Synchronisation in Rats. J Neuroendocrinol. 2014 May;26(5):282-295. doi: 10.1111/jne.12145[↩]
- Bol’shova OV, Pakhomova VH, Sprynchuk NA.: Zinc status in children and adolescents with growth hormone deficiency. Lik Sprava. 2013 Jul-Aug;(5):70-5[↩]
- Estívariz CF, Ziegler TR.: Nutrition and the insulin-like growth factor system. Endocrine. 1997 Aug;7(1):65-71.[↩]
- Mabee DM, Morgan AF.: Evaluation by dog growth of egg yolk protein and six other partially purified proteins, some after heat treatment. J Nutr. 1951 Feb;43(2):261-79.[↩]
- Nap RC, Hazewinkel HA, Voorhout G, Van den Brom WE, Goedegebuure SA, Van ’T Klooster AT.: Growth and skeletal development in Great Dane pups fed different levels of protein intake. J Nutr. 1991 Nov;121(11 Suppl):S107-13.[↩]
- Alexia L. V. Prescod, William C. Halliday, Carla G. Taylor: Protein deficiency, but not zinc deficiency, reduces recovery of type 1 and type 2 muscle fibre diameters in the gastrocnemius muscle of growing rats. British Journal of Nutrition 14 September 2011 106: 675-682 DOI: 10.1017/S0007114511000699[↩]
- Cao JJ, Nielsen FH.: Acid diet (high-meat protein) effects on calcium metabolism and bone health. Curr Opin Clin Nutr Metab Care. 2010 Nov;13(6):698-702. doi: 10.1097/MCO.0b013e32833df691[↩]
- Anne Morise, Bernard Sève, Katherine Macé, Corinne Magliola, Isabelle Le Huërou-Luron and Isabelle Louveau. Growth, body composition and hormonal status of growing pigs exhibiting a normal or small weight at birth and exposed to a neonatal diet enriched in proteins. British Journal of Nutrition 10;105: 1471-1479[↩]
- Karolina AP Wijnands, Peter RG Brink, Paul HE Weijers, Cornelis HC Dejong, Martijn Poeze: Impaired fracture healing associated with amino acid disturbances. Am J Clin Nutr May 2012 vol. 95 no. 5 1270-1277 doi: 10.3945/ajcn.110.009209[↩]
- Joslowski G, Remer T, Assmann KE, Krupp D, Cheng G, Garnett SP, Kroke A, Wudy SA, Günther AL, Buyken AE.: Animal protein intakes during early life and adolescence differ in their relation to the growth hormone-insulin-like-growth-factor axis in young adulthood. J Nutr. 2013 Jul;143(7):1147-54. doi: 10.3945/jn.113.175877[↩]
- Schoenherr WD, Macleay JM, Yamka RM.: Evaluation of body composition and cartilage biomarkers in large-breed dogs fed two foods designed for growth. Am J Vet Res. 2010 Aug;71(8):934-9. doi: 10.2460/ajvr.71.8.934.[↩]
- Nicodemo M1, Scott D, Buchan W, Duncan A, Robins SP.: Effects of variations in live weight gain on bone growth and composition and on markers of bone turnover in lambs. Exp Physiol. 1999 May;84(3):579-87.[↩]
- Scott D, Loveridge N, Nicodemo L, Buchan W, Milne J, Duncan A, Nicol P, Robins SP.: Effect of diets varying in nitrogen or phosphorus content on indicators of bone growth in lambs. Exp Physiol. 1997 Jan;82(1):193-202.[↩]
- Dämmrich K.: Relationship between nutrition and bone growth in large and giant dogs. J Nutr. 1991 Nov;121(11 Suppl):S114-21.[↩]
- Marcovecchio ML, Chiarelli F.: Obesity and growth during childhood and puberty. World Rev Nutr Diet. 2013;106:135-41. doi: 10.1159/000342545[↩]
- Mikko J. Lammi, Jari Arokoski, Katriina Vuolteenaho ja Eeva Moilanen: Nivelrikon välittäjäaineet. Duodecim 2008;124(16):1876-84[↩]
- Skeletal development of greyhounds, German shepherd dogs and their crossbreed offspring. An investigation with special reference to hip dysplasia. Acta Radiol Suppl. 1975;344:81-107[↩]
- Brito I, Gil-Peña H, Molinos I, Loredo V, Henriques-Coelho T, Caldas-Afonso A, Santos F.: Growth cartilage expression of growth hormone/insulin-like growth factor I axis in spontaneous and growth hormone induced catch-up growth. Growth Horm IGF Res. 2012 Jun-Aug;22(3-4):129-33. doi: 10.1016/j.ghir.2012.04.004[↩]
- van Goudoever JB, Vlaardingerbroek H, van den Akker CH, de Groof F, van der Schoor SR.: Amino acids and proteins. World Rev Nutr Diet. 2014;110:49-63. doi: 10.1159/000358458[↩]
- Martin Nilsson, Claes Ohlsson, Anders Odén, Dan Mellström, Mattias Lorentzon: Increased physical activity is associated with enhanced development of peak bone mass in men: a five year longitudinal study. Journal of Bone and Mineral Research January 6, 2012 DOI 10.1002/jbmr.1549[↩]
- Kyriacos I. Eleftheriou, Jaikirty S. Rawal, Anthony Kehoe, Laurence E. James, John R. Payne, James R. Skipworth, Zudin A. Puthucheary, Fotios Drenos, Dudley J. Pennell, Mike Loosemore, Michael World, Steve E. Humphries, Fares S. Haddad, Hugh E. Montgomery: The Lichfield bone study: the skeletal response to exercise in healthy young men. Journal of Applied Physiology February 2012 vol. 112 no. 4 615-626 doi: 10.1152/japplphysiol.00788.2011[↩]


Kyllä, tämä on vanha juttu. Mutta se oli tipahtanut foorumin sisällöstä pois. Syynä oli aika, jolloin kuvittelin kahden Katiskan jutun pystyvän käyttämään samaa ketjua kommentointiin — joka ei onnistunutkaan.
Nyrkkisääntö pentu syö kuin rotunsa aktiivinen aikuinen on johdettu siitä faktasta, että pentu kattaa korkeammat tarpeensa syömällä suhteessa painoonsa enemmän kuin aikuinen. Kun paino nousee, niin ruokamäärä per painokilo laskee, mutta samalla tarpeet muuttuvat samalle tasolle kuin aikuisella.
Sain kommentin, että nyrkkisääntö ei voi pitää paikkaansa, koska pennut syövät erilaisia määriä ruokaa. Pätee se. Tuossa unohdetaan se, että myös aikuiset syövät erilaisia määriä ruokaa, vaikka painaisivat saman verran. Silti se riittää.
Otetaan esimerkiksi penturuuat (jotka ovat aikuisten aktiiviruokaa, ei ole olemassa mitään erillistä penturuokaa).
Jos pentu A syö penturuokaa vähemmän kuin pentu B, niin onko silloin A:lla uhkaamassa puutostila? Ei sille ole, koska myös se alempi määrää riittää. Mutta ei tuo riko nyrkkisääntöä. Ainoa minkä se rikkoo, on oletukset pentutarpeista – se, mitä kutsutaan pentujen tarpeiksi, ovat itseasiassa
Nyrkkisäännöt ovat aina yleistyksiä. Niiden tarkoituskaan ei ole olla eksakti, auringontarkka, tilanne per jokainen pentu. Nyrkkisääntöjen tarkoitus on helpottaa elämää ja tehdä asiat sen verran helpoiksi, että tekeminen ylipäätään onnistuu arkirealismissa.
Kun annetaan oletetun aikuispainon mukaan, niin lasketaan aikuisten tarpeilla. Jos aletaan arvuuttelemaan pennun painolla, niin lasketaan jollain pennun tarpeilla.
Pentujen tarpeiden ongelma on, että pennulla tarkoitetaan aina beagleä tai aikuispainoltaan 15 - 20 kiloista koiraa. Homma hajoaa tarvearvuutteluiden kohdalla siinä vaiheessa, kun kyseessä on pienempi - jolloin siirtyminen aikuistarpeisiin tapahtuu aiemmin - tai rotu on isompi - jolloin ollaan ruokinnan suhteen aikuisia hieman myöhemmin.
Törmättyä:
Sanoja opiskelee eläinlääkäriksi ja on saanut oppinsa siltä surullisenkuuluisalta ruokintaluennolta, jonka antamalla osaamisella sitten tehdään ravitsemuksellisia tukihoitoja (kyllä, alan olla toivoton tämän aiheen suhteen).
Liiallinen energia on haitaksi, jos se aiheuttaa sairaalloista ylipainoa. Liian vähäinen energia on haitaksi, jos se aiheuttaa laihuutta ja sitä myötä myös aina aliravitsemusta.
Mutta koskaan-ikinä-milloinkaan energian yliruokinta ei aiheuta lisääntynyttä tai nopeutunutta kasvua.
Sen sijaan aliravitsemus aiheuttaa hidastunutta kasvua sekä vajaakasvua. Siksi (länsimaalaisten) ihmisten keskipituus on noussut. Ei suklaan ja mäkkärin takia.
Minua ihan oikeasti pelottaa jos valmistuessa perustiedot biologiasta ja metabolista on tällä tasolla ja sitten moista bullshittiä jaetaan ensin kasvattajan teettämän pentutarkistuksen yhteydessä ja sitten omistajan penturokotuksilla.
Bonusmateriaali prosenttilaskujen vaikeudesta
Samassa yhteydessä mainittiin, että:
Tuo ei ole minimi. Se on nykyään yleinen toteutunut määrä. Ja kertauksen vuoksi – fosforille ei ole saantisuositusta, vaan se ynnätään pyhän Ca/P-suhteen kautta.
Tuo ei ole tarve. Se on resepti. Ylipäätään aina kun matemaattisesti suuntautunut henkilö yhdistää suhdeluvun absoluuttiseen saantiin, ollaan epäilyn kynnyksellä, että miten se matemaattinen suuntautuminen oikein toteutuikaan.
Kyllä. Olen perinjuurin väsynyt tähän(kin) aiheeseen.
Kun HenkkaMaukassa on mekko 30 % alennuksella, niin on se alennus sama jos alkuperäinen hintalappu on 30 euroa tai 300 euroa? Aivan. Ei ole. Sama asia, mutta toisinpäin, pätee ruuassa ja tarpeissa. Jos hintaa nostetaan 10 %, niin onko lopullinen hinta sama, jos lähtöhinta on ollut 50 euroa tai 500 euroa? Aivan, ei ole sama nytkään.
Koirien tarpeet ilmoitetaan per painokilo, ei per syöty ruokamäärä (aidosti per metabolinen painokilo, mutta ohitetaan se tällä kertaa). Vielä vähemmän tarve ilmoitetaan prosentteina ruokamäärästä. Se kertoo vain, että voidaanko tarve ylipäätään täyttää – täysin totaalisen eri asia.
Kaksi samanlaista 10 kg painavaa koiraa… Koira A syö ruokaa X 300 grammaa, jossa on kalsiumia 1,2 %. Koira B syö ruokaa Y 180 grammaa, jossa on kalsiumia 0,8 %.
Onko niillä eri tarpeet, koska ne syövät eri kalsiummäärällä olevaa ruokaa erikokoiset annokset? Ei ole. Niillä on laskennallisesti tismalleen sama 731 mg, ~ 800 mg, tarve. Tarve ei muutu, ruuasta saatava määrä muuttuu.
Ja nyt päästään siihen prosenttilaskun vaikeuteen. Prosentti ei tarkoita yhtään mitään ilman määrää, josta se lasketaan. Ja jotta laskuista olisi jotain hyötyä, niin pitäisi laskea asiaan liittyviä asioita.
Silloin
300/100x1,2 = 3,6 g = 3600 mgKasvua luullaan usein suoraviivaiseksi ja tasaiseksi. Ei se ole. Moinen harhaluulo perustuu mittausten ja punnitusten pidempään aikaväliin. Ihan samalla tavalla kuin ihmislapsilla — paitsi että hekin poukkoilevat kasvukäyrien minimin ja maksimin välissä.
Nopein tapa esittää tuo mittauskertojen merkitys on käyttää hieman eri asiaa, mutta se on helpoiten saatavilla. Nimittäin omaa laihdutusprojektia.
Kun katsotaan pitkää aikaväliä, niin olen laihtunut mukavan tasaista vauhtia ja keventyminen on loiveni, kun nostin kaloreita:
Aidompi todellisuus paljastuu, kun vilkaistaankin kuukausitasoa ja punnitukset ovat olleet (lähes) päivittäisiä:
Jos mitattaisiin pennun säkäkorkeus (ja rungon pituus) joka päivä, kuin myös paino, niin kasvukäyrä olisi vastaavaa hyppelemistä.
Korkeus pysyisi aina hetken, ja sitten tulisi kasvupiikki, joka taas rauhoittuisi hetkeksi.
Paino vaihtelisi vielä enemmän. Aina kasvupiikin kohdalla se tipahtaisi ja nousisi taas kasvun rauhallisella ajalla. Kaunis nousukäyrä tulisi vain siitä, että laihtumisen jälkeinen lihominen nostaisi painoa aina yli sen mistä edellinen sykli alkoi.
Kasvun vaihtelu on normaalia ja perustuu elimistön omaan aineenvaihduntaan, jota ohjaa hormonitoiminta. Sen säätely-yritykset ruualla ovat, paitsi hyödyttömiä, niin myös jossain määrin vaarallisia pennun kehittymisen kanssa.
Miesten on ollut tätä hieman hankala ymmärtää, mutta naisille esimerkki on ollut helpompi.
Jos kasvavan tytön ruokaa vähennetään, jotta hän ei van lihoisi ja pysyisi teininäkin fitness-mitoiksi, niin tapahtuu pari asiaa:
Useimpien mielestä tuo ei olisi tervettä ja voisi olla jopa peruste lastensuojeluilmoitukselle. Kun kyse on koiranpennusta, niin sitä pidetäänkin hyvänä ideana ja kasvattajat jopa kannustavat siihen — aivan kuin omistajan tekemä lievä nälkiinnyttäminen jotenkin suojelisi koiraa kasvattajan tekemiltä jalostusvirheiltä nivelissä.
Aina puhutaan, että tällaisissa tapauksissa kyse on omistajan virheestä. Omalla tavallaan toki onkin, koska omistaja vastaa koirastaan. Mutta kun ei osaa ja eksyy dis/mis ja adin informaation viidakkoon, niin aito vastuu siirtyy tukiverkostolle. Ja se tarkoittaa aina ja iänkaiken kasvattajaa.
Kasvattajathan mainostavat, että he osaavat ja neuvovat. Ja kuten aina, niin neuvojien vastuu on ylikorostunut.
Yleisin raju virhe, johon kasvattajat syyllistyvät, on kaikille – tai ainakin useille – hyvin tuttu: kasvun säätely heikentelemällä ruokaa, jolla sitten estetään kasvuhäiriöt.
Jos unohdetaan se, että mitään kasvunsäätelyä ei pystytä tekemään ja että huono on aina huonoa, niin onhan tuo kasvattajille mukava ajattelutapa: saa ulkoistettua kaikki koiran kasvuun liittyvät ongelmat omistajan ruokintaan, jopa silloin kun omistaja tekee kaikki sekoilut, jotka kasvattaja onnistuu keksimään; et tehnyt tarpeeksi/teit liikaa/vastuu on omistajalla.
Ja jos luonto pitää huolen itsestään ja pennulle ei kehity mitään silminnähtävää ongelmaa, niin kasvattaja pääsee keräämään krediitit tappavan vaarallisista neuvoista. Taas kerran: pentu kasvoi aikuiseksi, ei omistajan ja kasvattajan takia, vaan heistä huolimatta.
Ruokintavirheen onnistuu tekemään kuivamuonillakin. Aika helposti itseasiassa – varsinkin kun siihen kehoittavat
Negailuako? Taatusti, mutta myös realismia, koska näihin törmää päivittäin. Syyllistämistäkö? Taatusti, koska virheistä harvemmin kuuluu palkita ja kiittää. Kun laattamies jättää kylppärin vesieristyksen tekemättä, koska ei osannut tai usko erikeeperin riittävän, niin harvemmin kukaan tulee puolustelemaan, että ei saa sanoa pahasti, ettei laatottajalle tule paha mieli ja olihan vastuu kuitenkin työn tilaajalla.
Esimerkki.
Kasvava pentu, aikuispaino jossain hieman alle 30 kiloa, eli ei edes jätti - enintään keskikokoinen. Pentu sai aiemmin kuivamuonaa ja ainakin hieman lihaan. Sen jälkeen kuvioihin hyppäsi kasvattaja ja liha poistettiin. Käyttöön tuli hyvälaatuinen kuivamuona: Golden Eagle Holistic L&G Breed Puppy.
Hyvä laatu penturuuassa tarkoittaa tällä kertaa:
Tekisi mieli todeta, että ihan tyypillinen Golden Eaglen ruoka - sapuska, joka on kallis ostaa ja laadultaan markettitasoa.
Syy siihen miksi kasvava pentu on siirrettu laihdutusruualle (laittakaa rinnalle Golden Eagle Holistic Senior Formula…) on niin tuttu ja aina yhtä helvetin masentava (kyllä, tässä saa kiroilla):
Ei ole olemassa mitään normaalia kasvuvauhtia. Ei koirilla, ei kissoilla, ei hevosilla eikä ihmisillä. Kasvuvauhti on mikä on ja se riippuu edelleenkin kahdesta asiasta:
Jos pennun luusto on niin paska, että se menee kieroon painon takia, niin sääli on sairautta ja pentu on syytä palauttaa kasvattajalle sekä vaatia rahat takaisin. Tuollaisesta pennusta kun ei ole eläjäksi.
On vain kaksi tapausta, jossa jalat saa vääntymään painon takia, usein yhdessä, mutta joskus myös erikseen:
On olemassa kaksi syytä lisää, joita olen aina halunnut pitää vaun teoreettisina:
Minulle on pari kertaa kiukuteltu säännöstä, jossa pentu ruokitaan kuin rotunsa aktiivinen aikuinen – tämä tulee säännönmukaisesti kuivamuonasidonnaisilta. Joten taas sama avoin kysymys, johon ei ole koskaan saanut faktisesti kestävää vastausta:
Jos kerta kasvavan pennun tarpeet ovat niin poikkeukselliset, niin miksi kasvavaa pentua voidaan syöttää laihduttavalla senior-ruualla, kunhan sitä kutsutaan penturuuaksi? Ja miksi penturuuissa on niin tolkuttomat vaihtelut kaikkien mahdollisten tunnuslukujen suhteen?
Minä tiedän mitkä ovat pennun tarpeet. Minä tiedän myös miksi kuivamuinateollisuus noita väitteitä viljelee, eikä se syy ole lapslle sopivaa materiaalia.
Kunhan laitan kaksi ketjua juttelemaan keskenään:
Tämä oli Ylen uutisissa:
Koko juttu on mielenkiintoinen, mutta kaksi asiaa pisti silmään ja nimenomaan ajatuksella koiranpennun kasvun rajoittaminen:
Tuota ei edes yritetty selittää, ja teen vielä suuremman loikan, kun kytken sen koiriin, mutta syy lienee sama kuin miksi museoissa on niin lyhyet sängyt. Ihmisistä on tullut pidempiä ja melkoisen lyhyellä aikavälillä. Eikä se ole edes loppunut vielä.
Minä oli 186 senttisenä omana aikanani pisimpien joukkossa ja yli 190 senttiset nuoret miehet olivat harvinaisia. Ravintolassa näin massojen päiden yli. Nykyiset nuoret ovat järjestään pidempiä. Tuo pätee muuten naisissakin.
Kyse on kahdesta asiasta:
Sitä tosin mietin, että onko nykyajan nuorilla yhtä paljon kasvukipuja kuin aikoinaan itselläni oli
Tarkoittaako tuo, että ruualla todellakin voidaan kiihdyttää ja lisätä kasvua? Kyllä, jos vertailukohtana on aliravitsemus, ja kun kiihdyttäminen sekä lisääminen tarkottaa yksilön perimän sallimaa maksimia.
Se, että kivikaudella kasvu loppui aiemmin, johtuu vain ravinnon vähyydestä, ja sairastelusta. Se, että kivikaudella tyttöjen kuukautiset alkoivat myöhemmin johtuu vain siitä maagisesta 45 kg rajasta, joka tänä päivänäkin on suurin yksittäinen säätelijä kuukautiskierrossa.
Joten Ylen juttu avaa aliravitsemuksen seurauksia, eikä sitä voi käyttää selittelyyn, että koiranpentu kasvaa liian nopeasti ja hajoaa, jos se saa sopivaa ruokaa. Edelleenkin liikasyöminen lihottaa, ei pidennä jalkoja.
Vaikka aloituksen linkítys vaatisi kiihkeästi vähintään kirjoitusvirheiden korjaamista, ja aivan ehdottomasti muutamien todella outojen lauserakenteiden viilaamista, niin nostan tätä.
Syynä on se, että olen törmännyt lyhyellä aikavälillä törmännyt useamman kerran kasvattajien selittämään ja pennunostajien uskomaan kasvun säätelyyn heikentämällä ruokintaa ja tipauttamalla pentujen painot laihuuden puolelle.
Sanon tämän nyt niin yksinkertaisesti kuin osaan: kasvua ei voi säädellä ja kaikki tuo on aika järkyttävä ruokintavirhe.
Jep, ne tapaukset ovat kaikki olleet jättejä. Koitetaan muistaa, että ne ovat totaalista äärijalostusta, kuin myös toinen ääripää chihuahuat, jonka yksi seuraus on poikkeuksellisen lyhyt elinikä. Kun rodussa pitkäikäisyydeksi lasketaan 8 vuotta, niin oikeastiko pentujen kasvu on se asia, johon rodussa kuuluisi kiinnittää huomiota?
Eräs bernin omistaja mainitsi puhelun aikana, että hänellä on pitkäikäisiä koiria. Osa pääsee yli 9 vuoden. Minua ei naurattanut — eikä bern edes ole jätti, vaan suurikokoinen.